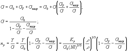
Рис. 1. Схема балансирного планера П. Н. Нестерова
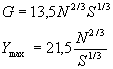
Скорость планирования определялась в основном удельной нагрузкой на
крыло G/S, где G -- полетный вес в кГ и S -- площадь крыльев в
м2. В среднем можно было считать
Так, при весе около 100 кГ и площади крыльев 16 м2 мы
получим скорость по отношению к воздушной среде, равную 9-10 м/сек, и
скорость снижения Vy= V/K=2,2-2,7 м/сек. Такая вертикальная
скорость соответствует прыжку с высоты 1/4-1/3 м. При полете против ветра,
имеющего скорость 5-6 м/сек, скорость перемещения планера по отношению к
поверхности земли составляла 4-5 м/сек. Из этих характеристик легко видеть,
что полет на планере мало отличался от бега и прыжков, но только время
нахождения человека в воздухе при этом было гораздо больше, чем при простом
прыжке с высоты.
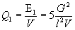
Улучшение аэродинамического качества требовало значительного усложнения
планера, а уменьшение удельной нагрузки путем увеличения площади крыльев
делало планер громоздким, и балансирное управление становилось непригодным.
Перейдем к общей теории планера, как она сложилась впоследствии.
Летящее тело подвержено действию силы земного притяжения, определяемого
весом тела G. За время полета t тело получит импульс тяготения G*t, который
сообщит телу вертикальную скорость Vy=9,8t. Чтобы тело двигалось
горизонтально или с постоянной вертикальной скоростью, импульс, сообщенный
силой тяготения, должен быть передан другому телу -- окружающей воздушной
среде или газам, выбрасываемым реактивным двигателем. Передача импульса
требует расходования энергии и, кроме того, будут другие факторы, требующие
дополнительного расходования энергии. Планер может расходовать только свою
энергию высоты, или потенциальную энергию, непрерывно снижаясь по отношению
к окружающей воздушной среде. Чтобы планер снижался полого и медленно,
необходимо, чтобы на передачу импульса и побочные потери затрачивалось мало
энергии. Побочные потери будут возникать из-за наличия лобовых
сопротивлений, не связанных прямым образом с созданием подъемной силы.
Крыло, перемещаясь в воздушной среде, воздействует на нее, отталкивая
воздух вниз так, что каждую секунду воздействию подвергаются все новые и
новые массы воздуха. Крыло воздействует наиболее сильно на слои воздуха,
проходящие вблизи него, и это воздействие постепенно ослабевает по мере
отдаления массы воздуха от крыла по вертикали. Если условно считать, что
воздействие не зависит от расстояния до крыла, мы получим вполне
определенную массу воздуха, на которую ежесекундно воздействует крыло в
процессе сообщения импульса, называемую секундной массой ms.
Оказывается, что она заключена в цилиндрическом отрезке длиной V и
диаметром, равным размаху крыла l; отсюда получим
и при нормальной плотности воздуха s= 0,125
кГ*сек2/м4 получим ms =
0,l*V*l2.
Вертикальную скорость W, сообщенную массе ms, получим
делением веса планера на ms, т. е. W=G/ms; энергия,
сообщенная массе ms, будет равна
Эту затрату энергии можно свести к преодолению сопротивления,
называемого индуктивным и вызываемым формированием подъемной силы, равной
весу; величину индуктивного сопротивления получим, поделив энергию
E1 на скорость полета
Дополнительная затрата энергии будет вызвана необходимостью преодоления
сопротивления частей планера; его можно представить как сопротивление
некоторой плоской площадки F, расположенной перпендикулярно к линии полета:
где 1,28 -- коэффициент сопротивления плоской пластинки.
Сопротивление Q1 обратно пропорционально V2, a
Q2 прямо пропорционально этой величине; нетрудно было бы
показать, что минимальное суммарное сопротивление будет при равенстве обоих
сопротивлений, а из этого условия мы получим соответствующую скорость
полета, называемую наивыгоднейшей, Vн, в максимальное значение
аэродинамического качества Кmах:
Вертикальную скорость планера получим, разделив скорость на
аэродинамическое качество:
Минимум скорости снижения будет при скорости на 25-30% меньшей, чем
наивыгоднейшая, но при аэродинамическом качестве, пониженном примерно на
15%, и тогда скорость снижения будет равна:
Из этой формулы мы видим, что при данном весе планера наиболее сильным
средством уменьшения скорости снижения является увеличение размаха крыльев;
уменьшение вредной площади F влияет довольно слабо. В случае биплана в
расчет вводится эквивалентный размах крыльев
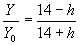
где h -- расстояние между крыльями.
Для биплана с размахом 6 м и расстоянием h=1,3 м мы получим
эквивалентный размах lэ=6,8 м. У балансирного планера с грубыми
формами и открыто висящим летчиком величина F около 1,2-1,4 м2;
максимальное аэродинамическое качество будет около 4,5; скорость полета при
полетном весе 90 кГ будет 8-9 м/сек, скорость снижения -- около 2 м/сек.
Следует указать, что если крыло плоское или искривленное, но обтягивающая
его материя не лакирована, эффективный размах окажется значительно
пониженным:
Здесь S -- площадь крыльев; у нашего планера она около 16
м2, и тогда lэ=4,25 м; аэродинамическое качество будет
около 3 и скорость снижения -- около 2,8 м/сек.
Кроме проделанных выше расчетов, необходимо проверить величину
коэффициента подъемной силы при минимальной скорости снижения:
Так, в нашем примере при V=8 м/сек, G/S=5,6 кГ/м2 имеем
Сy=1,4. Для обычного профиля это большая величина и профиль может оказаться
близким к срыву обтекания. Во избежание этого, летать нужно на повышенной
скорости, что поведет к увеличению скорости снижения.
Можно показать, что во избежание получения излишне большого Су на
режиме пологого планирования величина
не должна превышать 0,4-0,5, где bср -- средняя ширина
крыла, равная площади крыла, деленной на размах, bcp=S/l; для
биплана нужно принимать bcp=S/lэ. У балансирных
планеров F приблизительно равно 1,3 м2 и потребная величина
bcp будет 2,3-2,5 м. Очевидно, что для получения такого значения
средней ширины крыла более целесообразно разбить ее на два крыла, расположив
одно над другим. Так это и делали, хотя подобного теоретического вывода
тогда еще получено не было. Впоследствии благодаря уменьшению величины F
ширина крыла bср была сокращена до 1,0-0,75 м. При большом
размахе это привело к очень большому удлинению l = l/bср.
Можно считать, что планеры Нестерова-- Делоне имели аэродинамическое
качество около 4 и скорость снижения более 2 м/сек. Чтобы совершать
планирующие полеты, нужно было иметь склон горы круче, чем 15o.
Как известно, Лилиенталь сделал для себя специальную горку. При угле откоса,
равном 20o, и при ветре, имеющем скорость более 6-7 м/сек,
получался восходящий поток со скоростью более 2 м/сек и был возможен парящий
полет. Однако при несовершенном балансирном управлении это было очень
рискованно и привело Лилиенталя к гибели.
Автор тоже проводил опыты полета на балансирном планере. Первое
впечатление при испытании было очень неожиданным. Подойдя к довольно крутому
откосу при скорости ветра около 6 м/сек, я, к своему удивлению,
почувствовал, что планер не хочет планировать. Благодаря наличию подъемной
силы я едва стоял на земле, и не мог приложить усилия, чтобы побежать вниз
по склону. Только после нескольких попыток мне удалось увеличить скорость и
оторваться. Чувствовалось, что необходима дополнительная тяга; тогда к
планеру привязали две веревки, за которые стали тянуть мои товарищи. С
дополнительной тягой дело пошло лучше и можно было совершать подлеты с
пологих склонов.
К дополнительной тяге прибегали и многие другие. Подобный буксирный
полет можно совершать и на ровной местности. Потребную силу тяги легко
определить; при весе около 90 кГ и качестве 4 нужна тяга 22,5 кГ. Чтобы
создать такую тягу при беге, нужно иметь 4-6 человек или лошадь. На снимках
полетов П. Н. Нестерова можно увидеть применение буксировки на ровной
местности.
Балансирное управление, особенно боковое, осуществлять довольно
затруднительно. Если предположить, что удастся отклонить центр тяжести
туловища в сторону на 7-10 см и тем сместить центр тяжести планера на 5-7
см, мы получим момент крена, равный 5-7 кГм. Плечо подъемной силы
относительно центра тяжести составит около 1,5-2% полуразмаха.
Один из последних, кто летал на балансирном планере в двадцатые годы,
-- Пельтцнер в Германии, -- имел единственный орган управления -- руль
направления. Это следует признать целесообразным. При наличии поперечного
"V" крыльев, создавая скольжение рулем направления, можно было создавать и
устранять углы крена с угловой скоростью до 10o в секунду и
управлять направлением полета.
Что касается продольного управления, то полет происходит примерно на
постоянном угле атаки, который планер должен устойчиво удерживать, что
обеспечивается путем правильного выбора центровки и угла установки
стабилизатора (соблюдения продольного "V"). Только в момент посадки
необходимо увеличить угол атаки, что и достигается передвижением пилота
назад. Важнейшим условием продольной устойчивости самолета, как известно,
является способность сопротивляться изменению перегрузки как в случае
действия воздушных течений, так и при выполнении маневра. Критерий
устойчивости по перегрузке довольно прост и заключается в том, что
аэродинамический фокус должен находиться позади центра тяжести.
Примерный расчет для планера Нестерова дает положение аэродинамического
фокуса в точке, лежащей примерно на расстоянии, равном 37% длины хорды от ее
передней кромки (см. рис. 1, точка О). Чтобы получить положение центра
тяжести (точка О' на рис. 1) впереди фокуса у планера рассматриваемой схемы,
летчик должен расположиться в довольно переднем положении -- почти у
переднего лонжерона. Чтобы повысить запас устойчивости у балансирного
планера, нужно было бы принять такую схему, в которой летчик мог несколько
больше выдвинуться вперед; например, придать крыльям небольшую
стреловидность или сдвинуть верхнее крыло назад, применив обратный вынос,
или лучше сделать прямой вынос, как это часто делалось у бипланов, т. е.
значительно выдвинуть верхнее крыло вперед, и расположить летчика впереди
переднего лонжерона нижнего крыла.
Может быть, и не стоило бы останавливаться на полете балансирных
планеров: аэродинамически они очень плохи -- скорость снижения велика (2-2,5
м/сек), качество низко и управление несовершенно. Балансирные планеры
сыграли свою, положительную, роль, дав пионерам авиации некоторый опыт.
Однако и прошлое полезно анализировать, а, может быть, простейшие планеры
окажутся интересными и сейчас.
Радикальное улучшение летных характеристик планеров началось уже после
окончания первой мировой войны -- в 1921 -- 1922 гг. -- и в этом деле были
быстро достигнуты замечательные успехи. В Советском Союзе в 1922 г. был
построен планер К. К. Арцеуловым. По своим формам он напоминал самолет,
размах его крыльев был доведен до 13 м. Значение F можно оценить примерно в
0,5-0,6 м2; отсюда мы получим аэродинамическое качество, равное
13-14; при полетном весе 140 кГ это даст минимальную скорость снижения около
0,7-0,75 м/сек. Столь малая скорость снижения позволила этому планеру под
управлением летчика Л. А. Юнгмейстера совершить парящий полет осенью 1923 г.
продолжительностью более часа.
Развитию планеров весьма способствовало применение теории индуктивного
сопротивления, из которой и вытекают приведенные выше формулы для
аэродинамического качества и скорости снижения. К 1925-1927 гг.
аэродинамическое качество планеров повысилось до 20-25, хотя скорость
снижения уменьшилась сравнительно немного. Для современных планеров
характерны размахи крыльев 16-18 м и даже более, значения F=0,2
м2 и даже менее; при этих условиях аэродинамическое качество
будет около 30-35. Однако при больших размахах крыльев значительно
увеличивается вес планеров. При размахе 17 м полетный вес составляет около
350 кГ и скорость снижения будет около 0,55 м/сек.
Рис 2 Схема свободного аэростата объемом 1400 м3:
1 -- прорезиненный баллон; 2 -- стропы; 3 -- силовое кольцо; 4 --
корзина, 5 -- клапан; 6 -- цилиндрический отросток; 7 -- разрывная лента; 8
-- мешки с балластом; 9 -- гайдроп.
Интересно, что весовая сводка для данного аэростата очень близка к
таковой для четырехместного спортивного самолета с двигателем мощностью
около 250 л. с.; конструкция такого самолета будет весить около 400 кГ,
двигатель и топливо -- 500-600 кГ и полезная нагрузка -- 400 кГ.
Управление свободным аэростатом сравнительно несложное. Средствами
управления являются клапан в куполе оболочки для выпуска порций газа с целью
уменьшения подъемной силы и балластные мешки в корзине, служащие для
облегчения аэростата. Таким образом, аэростат управляется только путем
изменения разности между подъемной силой и весом: чтобы преобладала
подъемная сила, нужно уменьшить вес, сбросив некоторое количество балласта;
чтобы преобладал вес, нужно выпустить порцию газа, приоткрыв клапан на
несколько секунд.
Сферический аэростат неустойчив в отношении высоты полета при
нормальном состоянии тропосферы. Взлет происходит при некотором избытке
подъемной силы. Если оболочка была не полностью занята газом (водородом или
светильным газом), то по мере подъема подъемная сила остается неизменной,
так как хотя плотность газа убывает, но его объем соответственно
увеличивается. Когда же газ целиком заполнит оболочку, дальнейший подъем
вызовет истечение газа из нижнего отверстия -- аппендикса, и подъемная сила
станет уменьшаться.
На некоторой высоте наступит равновесие между подъемной силой и весом,
но это равновесие неустойчиво. Если подъемная сила окажется мала, аэростат
пойдет вниз и равновесие не восстановится, пока недостаток подъемной силы не
будет компенсирован сбрасыванием балласта. Если балласта выброшено больше
чем нужно, аэростат будет подниматься до остановки, за которой опять
последует снижение. Потеря газа происходит вследствие пропускания газа
оболочкой; причиной изменения подъемной силы может быть нагревание газа
солнцем. В случае инверсии температуры, т. е. повышения ее с высотой,
устойчивость аэростата улучшается.
Время полета аэростата зависит от запаса балласта и интенсивности его
расходования. У неопытного пилота амплитуда изменений высоты будет большая и
расход балласта повышенный; опытный пилот как бы предугадывает предстоящее
движение и предотвращает нарушения высоты. С другой стороны, нужно уметь
использовать атмосферные условия и, в первую очередь, направление ветра,
которое может меняться с высотой. У дирижабля оболочка сохраняет постоянство
объема в результате подкачки воздуха в специальный воздушный мешок --
баллонет -- и поддержания некоторого избыточного давления. В этих условиях
высота полета устойчива, но зато возможности изменения высоты ограничены.
Полет на свободном аэростате спокоен и приятен. Единственной опасностью
в полете являются грозовые разряды, от которых может загореться газ или
произойти разрыв оболочки. Трудности возникают в основном при посадке.
Прежде всего, посадка может произойти в неудобном месте -- аэростат может
сесть на лес, болото, в воду. Наличие запаса балласта позволяет в таких
случаях подняться вновь и искать более удобного места для посадки. Если
аэростат быстро снижается, а запас балласта мал, то посадка произойдет с
ударом, для смягчения которого служит гайдроп, т. е. тяжелый канат,
свисающий вниз и дающий эффект облегчения. Наиболее опасна посадка при
сильном ветре и наличии в районе посадки деревьев, строений и, особенно,
высоковольтных линий. Во время посадки при сильном ветре стараются возможно
скорее выпустить газ на небольшой высоте, для чего служит специальное
разрывное приспособление.
Воздухоплавательный спорт, который одно время был достаточно широко
развит, теперь почти прекратил свое существование. Причин для этого много,
но основная причина заключается в возросшей опасности столкновения с
самолетами и в обилии высоковольтных линий. Как известно, в последние годы
свободные аэростаты были усовершенствованы применением легких и
непроницаемых для газа оболочек из пластмасс и применением автоматических
устройств для обеспечения устойчивости полета. Еще раньше в Советском Союзе
были разработаны герметические кабины, обеспечивающие полет на очень больших
высотах.
П. Н. Нестеров совершил несколько полетов на свободном аэростате. Один
из полетов был довольно длительный -- за 13 час было пройдено около 800 км.
и приняв аналитическое выражение для поляры
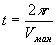
мы можем определить Y и затем отыскать его максимальное выражение.
Однако часть работы мы уже проделали при нахождении скорости снижения
для планера. Умножая скорость снижения на вес, получим мощность, которая
потребовалась бы для горизонтального полета. Подставляя вес, равный
максимальной подъемной силе, мы получим максимальную полезную мощность:
Это выражение можно несколько видоизменить, подставив
Kmах=0,785l/F1/2:
Учитывая, что режим полета будет несколько отличаться от
наивыгоднейшего, что на пониженной скорости и коэффициент полезного действия
будет уменьшен, а при винте фиксированного шага снизятся обороты двигателя и
несколько упадет мощность, в итоге получим:
Из этих выражений можно сделать очень важные выводы о свойствах
самолетов: при данной величине вредной площади F подъемная сила, которую
может развивать самолет, зависит в наибольшей -- первой -- степени от
величины размаха крыльев; от мощности двигателей она зависит слабее -- в
степени 2/3; увеличение вредной площади влияет на подъемную силу очень слабо
-- в степени 1/6. Так, например, при увеличении F в два раза подъемная сила
окажется уменьшенной только на 12%.
Если рассматривать самолеты, подобные по форме, то подъемная сила будет
определяться произведением мощности на размах крыльев. При поднятии на
высоту подъемная сила будет убывать пропорционально корню кубичному из
изменения плотности воздуха и, кроме того, соответственно изменению мощности
двигателей с высотой в степени 2/3. Зная величины максимальной подъемной
силы на разных высотах, мы легко можем определить высоты потолков при
различных полетных весах.
Полет на самолете будет надежен только при наличии возможности
маневрирования. Иными словами, полетный вес должен быть существенно меньше,
чем величина максимальной подъемной силы. Изучение характеристик самолетов
показало, что при полете на малой высоте вес самолета не должен превосходить
60-65% максимальной подъемной силы, однако, даже у маломаневренных самолетов
вес, как правило, не превышает 50-55% максимальной подъемной силы на малой
высоте. В дальнейшем при рассмотрении характеристик летательных аппаратов мы
будем прежде всего определять максимальную подъемную силу, пользуясь
приведенными приближенными формулами, или производить более точный расчет с
помощью метода, который будет изложен далее.
Рис. 3. Схема учебного самолета "Фарман-4" (1909 г) с ротативным
двигателем "Гном" мощностью 50 л. с. Размах крыльев 10,5 м; площадь крыльев
42 м2; вес пустого самолета около 350 кГ; полетный вес с одним
летчиком 500 кГ.
Перейдем к рассмотрению характеристик и свойств самолета "Фарман-4".
Как видно из схемы, приведенной на рис. 3, это биплан с прямоугольными
крыльями, многочисленными стойками и растяжками. Двигатель толкающий, т. е.
расположенный позади крыльев и позади центра тяжести. Хвостовое оперение
тоже бипланное и соединено с коробкой крыльев деревянной фермой с
проволочными растяжками. На хвостовом оперении находятся задний руль высоты
и два руля направления. Спереди на небольшой ферме установлен передний руль
высоты. Оба руля -- задний и передний -- отклоняются одновременно, но,
естественно, в разные стороны. Интересно, что у ранних вариантов самолета
был только передний руль, затем был добавлен и задний, а еще позже передний
руль вместе с фермой был убран. Элероны имеются на обоих крыльях, но
управление ими сделано упрощенное и они могут отклоняться только вниз.
В центральной части самолета установлена грузовая рама в виде двух
брусков, соединенных поперечинами. В задней части рамы установлен двигатель,
а в передней -- два сиденья, ручка управления и ножная педаль; ручка
помещена не в центре, как обычно, а справа. Летчик и пассажир сидят
совершенно открыто в воздушном потоке. Управление двигателем производится
при помощи крана подачи бензина и "контакта" -- включателя зажигания.
Ротативный двигатель "Гном" имел очень широкое распространение в период
1909-- 1914 гг. Его устройство интересно тем, что коленчатый вал закреплен,
а цилиндры, расположенные звездообразно, вращаются вместе с картером. Винт
прикрепляется к картеру. Устройство двигателя очень просто, вес его
небольшой: двигатель мощностью 50 л. с. весил 76 кГ. Экономичность двигателя
была низкая и надежность его невысокая, однако, при умелом уходе он работал
достаточно надежно. П. Н. Нестерову пришлось летать только на самолетах с
ротативными двигателями и даже совершать на них довольно длительные
перелеты.
Учитывая бипланную схему, мы можем получить эквивалентный размах
Величину F можно найти по известной нам максимальной скорости самолета,
равной 65 км/час, или 18 м/сек; приравнивая выражения для тяги 75Nh/V и сил
сопротивления, мы получим значение F:
для h=0,75 и G=500 кГ получим F=4,5-5 м2.
Теперь найдем максимальное аэродинамическое качество
Kmах=0,78lэ/F1/2=4,2 и скорость полета на
максимальном качестве
или 47 км/час.
Важно посмотреть, какому значению Cу это соответствует. Значение Cу
равно удельной нагрузке на крыло, деленной на скоростной напор:
Интересно, что в это выражение не входит размах крыльев. Для самолета
"Фарман-4" мы получим Cун=1,1; это довольно большое значение Cу,
близкое к предельному; для полета на минимальной мощности мы получили бы
Cуэ=1.73Cун=1,9 -- что явно выше максимального
значения. Из этого мы можем сделать вывод, что увеличение ширины крыльев
позволило бы увеличить максимальную подъемную силу.
Определяя Ymах, мы должны исходить из условия полета при
максимальном качестве, а не на экономичном режиме. Учитывая приближенно, что
на пониженной скорости будет уменьшен коэффициент полезного действия винта и
уменьшена мощность двигателя из-за уменьшения числа оборотов двигателя, мы
примем h=0,7 и N=47 л. с.; тогда получим:
При полетном весе, равном 500 кГ, запас подъемной силы будет равен
nу=Yн/G=1,4-1,45. Это довольно малый запас, но для
полета на малых высотах с ограниченным маневрированием достаточный. При
полете с пассажиром полетный вес будет равен приблизительно 580 кГ и
ny=1,25. Это уже очень малый запас, и подобные полеты, в том
числе, и учебные, производились на малых высотах в хорошую погоду. В 1910 г.
летчик Е. В. Руднев совершил перелет с пассажиром из Петербурга в Гатчину
дальностью около 65 км. Этот перелет происходил в условиях пониженной
температуры, когда мощность двигателя увеличилась примерно на 4% и плотность
воздуха -- на 7-8%; это дает увеличение Y на 5% и тогда Ymах=760
кГ.
При неработающем двигателе воздушный винт дает значительное
дополнительное сопротивление, особенно, если он вращается; значение F в этом
случае равно примерно 5,5 м2 и аэродинамическое качество около
3,9 при Су=1,3. Спуск нужно производить с запасом скорости, когда Су будет
не более 0,8 и аэродинамическое качество окажется равным примерно 3,5. Это
будет соответствовать довольно крутому планированию под углом
16,5о при скорости 15,5 м/сек и при скорости снижения 4,5 м/сек.
Низкое аэродинамическое качество при малой скорости полета вызывает
очень неблагоприятные явления при внезапном уменьшении тяги. Допустим, что
самолет летит горизонтально и тяга равна силе сопротивления. К высоте полета
h прибавим кинетическую высоту hк=V2/2g и получим
энергетическую высоту hэ=h+hк. В случае остановки
двигателя начнется падение уровня энергии по условию Dhэ=-Ds/K, и
линия уровня энергии резко переломится. Траектория полета будет изменяться
более плавно. Выражение для подъемной силы можно дать через кинетическую
высоту Y= Суrghк
Из рис. 4 легко видеть, что сразу же после остановки двигателя начнется
резкое уменьшение hэ примерно по условию
Если в исходном полете V=18 м/сек, hк=16,6 м, то через 2 сек
после остановки двигателя самолет пройдет путь около 30 м и уровень энергии
понизится на 9 м. За это время самолет не успеет существенно уменьшить
высоту и потому величина hк окажется уменьшенной почти в два
раза, а вместе с ней и подъемная сила. Самолет окажется в условии
возмущенного движения по отношению к траектории планирования, опишет
некоторую волнообразную траекторию и через некоторое время может войти в
режим планирования с постоянной скоростью.
Рис. 4. Схема полета самолета "Фарман-4" при остановке двигателя
Важно обратить внимание, сколь быстро произошла потеря скорости. Если
летчик инстинктивно попытается удержать самолет от "проваливания", скорость
упадет еще более резко; гораздо лучше было бы энергично уменьшить подъемную
силу быстрым наклонением самолета вниз, и еще лучше, если бы самолет сам, в
силу своей устойчивости, автоматически уменьшил угол тангажа.
К сожалению, самолет "Фарман-4" вследствие очень задней центровки не
имел такой тенденции и, если летчик не наклонял его с помощью руля высоты
довольно круто вниз, он оставался примерно в исходном горизонтальном
положении. Почти все аварии этого самолета происходили в результате перехода
его в парашютирование в случае внезапной остановки двигателя или при вялом
переводе самолета на планирование.
Автору приходилось не раз наблюдать эти явления и видеть много
фотографий аварий самолета "Фарман-4" в результате потери скорости и
перехода в парашютирование. К счастью, благодаря малой удельной нагрузке на
крыло и некоторым особенностям аэродинамики при парашютировании самолет
снижался довольно медленно, с небольшим углом крена. Самолет в этом случае
почти не разбивался, а летчик вообще не страдал при ударе.
На рис. 5 показаны основные летные характеристики, полученные из
поверочного аэродинамического расчета самолета "Фарман-4" для веса 500 кГ.
Потолок самолета, оказался несколько менее 2000 м.
Рис 5. Основные летные характеристики самолета "Фарман-4" по
поверочному расчету
Остановимся еще на этом самолете как на учебном. В 1909-- 1910 гг.
системы обучения еще не было разработано. Естественно, что конструкторы
первых самолетов учились летать самоучкой, начиная с рулений и подлетов по
прямой; повороты тоже вначале делали без крена. Затем стали складываться две
системы обучения. Одна -- система Блерио, по которой ученик начинал
самостоятельно рулить на специальном самолете, вообще не способном взлететь.
Затем он переходил на другой одноместный самолет, который мог подлетывать, и
так постепенно осваивал пилотирование. Бывали примеры, когда человек, купив
самолет, сразу на нем вылетал; так, например, было с известным летчиком С.
И. Уточкиным, однако, он был разносторонним спортсменом.
У самолета "Фарман-4" два сиденья были расположены друг за другом в
передней части рамы, которая свешивалась перед крылом; ножная педаль
предназначалась для сидящего впереди летчика. Ручка управления была
расположена справа так, что за нее летчик держался только правой рукой, а
пассажир тоже мог до нее дотянуться. Ноги пассажира просто свешивались с
крыла, а левой рукой он придерживался за стойку.
Управление двигателем состояло из выключателя зажигания -- "контакта" и
крана подачи бензина. Работа двигателя контролировалась "на слух", и только
для контроля работы поршневого масляного насоса имелся "стаканчик", т. е.
стеклянный пузырек, в котором уровень масла колебался 84 раза в минуту при
вращении двигателя с угловой скоростью 1200 об/мин. Считая пульсации масла,
можно было примерно установить число оборотов двигателя. Для контроля высоты
летчик привязывал к ноге высотомер.
Взлет самолета происходил следующим образом: 6-8 человек держали
самолет, а техник пролезал в хвостовую ферму и, убедившись, что контакт
выключен (спросив об этом летчика), проворачивал винт и ставил его на
компрессию. Затем он командовал: "Контакт!" -- и рывком проворачивал винт, а
летчик в это время включал зажигание. Если двигатель не заработал, все
начиналось сначала; если начинались вспышки, техник быстро убегал, а самолет
держали до тех пор, пока двигатель не разовьет полное число оборотов и
летчик не махнет рукой, чтобы самолет отпустили, и тогда начинался разбег.
Длина разбега у самолета "Фарман-4" была около 60 м и разбег занимал
6,5-7 сек. Описанный порядок взлета применялся на всех самолетах с
ротативными двигателями "Гном", так как они не имели "малого газа" и при
отсутствии поступательного движения быстро перегревались. Ротативные
двигатели "Рон" и "Клерже" могли работать на сравнительно малых оборотах, но
все же быстро перегревались, и потому, как только двигатель начинал
устойчиво работать на полной мощности, летчик давал сигнал отпустить самолет
и начинал разбег.
При обучении на самолете "Фарман-4" вначале ученик сидел сзади и
держался за ручку управления над рукой инструктора. После усвоения техники
управления ручкой ученик делал рулежки для освоения работы рулем
направления, а затем начинал совершать полеты с инструктором, который в этом
случае сидел уже сзади и мог только исправлять движения ученика ручкой.
Через 20-- 30 полетов ученика выпускали в самостоятельный полет.
Следует указать, что тяжелые аварии на самолете "Фарман-4" были редки,
а поломки очень часты. Конструкция самолета состояла из лонжеронов сплошного
прямоугольного сечения, обтекаемых стоек сплошного сечения, проволочных
растяжек, ушковых болтиков и алюминиевых стаканчиков, в которые вставлялись
концы стоек. Поэтому ремонт самолета был очень прост, и только регулировка
натяжения "паутины" растяжек требовала опыта и времени.
Для получения диплома на звание пилота-авиатора требовалось выполнить
два полета: в одном из них совершить 10 восьмерок, а в другом -- после
получасового полета на высоте 100 м -- совершить посадку планирующим
спуском.
Остановимся на некоторых вопросах устойчивости самолета "Фарман-4".
Центр тяжести самолета, по грубым расчетам, был расположен на расстоянии,
равном 45-50% длины хорды, от ее передней кромки. Фокус крыла лежал на
расстоянии, равном 25% длины его хорды; хвостовое оперение, большое по
площади (23% площади крыла) и с большим плечом, относительно мало смещает
фокус назад из-за небольшой величины его удлинения и сильного действия скоса
потока от крыла. Передний руль высоты, несмотря на меньшую его площадь и
меньшее плечо, благодаря более значительному удлинению и отсутствию влияния
скоса потока от крыла почти полностью нейтрализует смещение фокуса от
оперения, и в итоге фокус самолета находился примерно на расстоянии, равном
27-28% длины хорды, от ее передней кромки. Таким образом, при центровке
45-50% самолет должен быть сильно неустойчивым по углу атаки
(xо/b=-0,2). Однако, как известно, устойчивость по перегрузке
зависит не только от отношения xо/b, но и от эффекта
демпфирования, который для самолетов, подобных самолету "Фарман-4", очень
велик. И действительно, жалоб на неустойчивость самолета не было, хотя о
полете с брошенной ручкой в то время и не помышляли. Жаловались на то, что у
самолета происходит "провисание хвоста" при посадке. Это значит, что при
увеличении угла атаки хвост имеет стремление опускаться, и это нужно
парировать передвижением ручки "от себя". Это и есть типичное проявление
задней центровки, когда балансировочная диаграмма по отклонению руля имеет
обратный ход.
В журнале "Воздухоплаватель" того времени была помещена статья, в
которой указывалось на вредные последствия забрызгивания хвостовых
поверхностей перегорелым маслом, которое обильно вылетало из ротативного
двигателя, и вместе с грязью значительно утяжеляло хвост и усиливало
"провисание хвоста". Хотя самолет "Фарман-4" и служил в качестве учебного
почти 7 лет, он мало соответствовал требованиям, предъявляемым к учебному
самолету. При полете даже в небольшую "болтанку" требовались отклонения
рулей, близкие к предельным. Элероны, которые отклонялись только вниз, имели
слабую эффективность; крутое планирование при задней центровке затрудняло
посадку с большой высоты. Наконец, у самолета очень сильно проявлялся
гироскопический эффект вращения винта и двигателя -- при вираже влево
самолет "клевал", а при вираже вправо -- резко кабрировал, что требовало
энергичной работы рулем высоты.
Интересно отметить, что на некоторых самолетах "Фарман-4" просто
отбрасывали передний руль высоты; от этого центр тяжести немного сдвигался
назад, но зато фокус самолета сдвигался назад значительно больше, и
нейтральная центровка оказывалась равной 39-40%. В защиту переднего руля
высоты приводили тот довод, что он служит ориентиром при управлении
самолетом и что в полете он должен быть параллельным линии горизонта и
немного выше его. Известный инструктор московской военной авиационной школы
А. Я. Докучаев, выбросив передний руль высоты, поставил впереди для
ориентировки легкую рамку.
П. Н. Нестеров прошел через опыт полетов на самолете "Фарман-4"; у него
сложилось, несомненно, весьма неблагоприятное впечатление о средствах
управления этим самолетом и о его возможностях маневрирования.
Рис. 6. Самолет "Ньюпор-4" (1911 г.) с ротативным двигателем "Гном"
мощностью 70 л. с. Площадь крыльев с подфюзеляжной частью 21,5
м2; вес пустого самолета около 450 кГ; полетный вес с одним
летчиком 600 кГ.
Крупным недостатком самолета-моноплана "Ньюпор-4" был очень плохой
обзор земли, что было общим недостатком монопланов того времени. Как видно
из схемы самолета (рис. 6), голова летчика находилась невысоко над серединой
крыла (ширина крыла 2,5 м). Другим недостатком, тоже общим для монопланов
того времени, было тяжелое поперечное управление, осуществлявшееся путем
искривления крыльев. Для этой цели тросы идущие к переднему лонжерону, были
закреплены жестко, а тросы, идущие от заднего лонжерона, соединялись через
рычажки или ролики и могли перемещаться так, что, если конец левого заднего
лонжерона опускался, конец противоположного лонжерона поднимался. То, что
управление было тяжелым, объяснялось не только деформированием конструкции
при перекашивании крыла, но главным образом тем, что ось, относительно
которой поворачивалось крыло, находилась на расстоянии, равном
приблизительно 10% длины хорды, от передней кромки, а сама хорда имела длину
около 2 м. В итоге аэродинамические шарнирные моменты были велики. Переход
на элероны у монопланов произошел значительно позже. Для облегчения
управления фирма "Ньюпор" применила такую систему управления, при которой
искривление крыльев для управления креном выполнялось ножными педалями, а
рулем направления управляли посредством боковых движений ручки. Такое
управление не получило распространения, но оно затрудняло переход на этот
самолет с самолетов других типов или с него на другие. Во всяком случае,
подобная система управления считалась одним из основных минусов самолета.
Рассматривая схему самолета, мы можем констатировать, что она напоминает
схемы многих других самолетов, которые строились значительно позже и
отличались от нее только некоторыми деталями. Самолет имел трапециевидное
крыло умеренного сужения с удлинением около 5; киль отсутствовал, что
являлось обычным для того времени; руль высоты был относительно невелик.
Самолет мог бы иметь довольно высокое аэродинамическое качество, если
бы его не ухудшали некоторые детали: довольно грубая носовая часть, с малым
развитием выпуклых поверхностей, нужных для возникновения разрежений;
большая длина тросовых расчалок и сложное шасси, когда в силовую систему
входили передняя и задняя пары подкосов, а средняя пара служила только для
шасси. Для амортизации служила обычная рессора, стоявшая поперек потока и
совершенно не обтекаемая. При эффективном удлинении, равном приблизительно
4,6, и Сх0=0,1 аэродинамическое качество самолета было равно
примерно 6. Нужно сказать, что по сравнению с самолетами того времени это
было приличное качество, обеспечивающее достаточно пологий спуск при
планировании и простой переход от моторного полета к планированию.
Интересно, что профиль крыла был S-образный, т. е. с перегибом средней
линии и примерно постоянным положением центра давления. На других самолетах
обычными были профили с очень большой кривизной средней линии. В то время
некоторые специалисты полагали, что постоянство центра давления улучшает
продольную устойчивость. На самом деле это приводило только к некоторым
прочностным преимуществам и к существенному ухудшению несущей способности
крыла при больших углах атаки. Этим, может быть, объясняются имевшие место
катастрофы в результате сваливания на крыло. Центровка самолета неизвестна,
но нужно думать, что она была не более 40%, что для того времени можно
считать довольно передней центровкой. Нейтральная центровка с зажатым рулем
и без учета эффекта демпфирования составляла 42-44%. Самолет был,
несомненно, устойчив по перегрузке и, вероятно, по скорости. Для того
времени это было редким положительным качеством.
Автору приходилось наблюдать полеты на самолетах "Ньюпор-4" в 1914--
1915 гг. Полет выглядел спокойным и плавным, только при рулении самолет
сильно раскачивался из-за малой базы колес и мягкости рессоры. При
ознакомлении с конструкцией самолета сложилось впечатление, что лонжероны и
тросовые расчалки имели большой запас прочности, хотя прочность, видимо,
вообще не проверялась при статических испытаниях, как не проверялась и
центровка.
Из сказанного выше следует, что по устойчивости и прочности самолет
подходил для выполнения высшего пилотажа. Катастрофы с самолетом происходили
в основном в результате сваливания на крыло при потере скорости. Это можно
объяснить в известной мере свойством профиля крыла -- с резким срывом
обтекания. Одна катастрофа произошла при крутом спуске по прямой линии, из
которого летчик, видимо, не смог вывести самолет и врезался в землю. Этот
случай объясняли потерей жесткости фюзеляжа после грубых посадок в сочетании
с малой эффективностью руля высоты. Известен случай поломки крыльев самолета
при резком выравнивании во время посадки, когда поломались подкосы шасси, к
которым крепились несущие расчалки. Видимо, в данном случае имел место
производственный дефект или же было повреждено шасси при грубых посадках.
Автор был свидетелем катастрофы самолета, при которой погиб летчик С.
В. Гулевич осенью 1915 г. На высоте более 1000 м самолет вдруг начал быстро
вращаться вокруг продольной оси и, продолжая вращаться, в состоянии
пикирования дошел до земли и разбился. В то время о штопоре знали мало и
умышленного штопора не делали. По характеру движения причину катастрофы
можно было приписать невыходу из штопора.
Однако некоторые обстоятельства говорят против этой версии. Во-первых,
как это запомнил автор, фюзеляж самолета был в вертикальном положении, чего
не бывает при штопоре, когда наклон фюзеляжа по отношению к вертикали
составляет не менее 20о. Самолет был разрушен очень сильно, чего
не бывает при штопоре самолета с малой удельной нагрузкой на крыло.
Наконец, в некрологе, посвященном С. В. Гулевичу, проф. Н. Е. Жуковский
указывает, что ножная педаль, при помощи которой производилось управление
креном, была отъединена от трубы управления. Это могло произойти и при
ударе, но если это имело место в полете в результате выпадения
соединительного болтика, все происшедшее будет вполне объяснимо.
В самом деле, если у самолета произойдет разъединение управления
элеронами, они займут нейтральное положение, так как шарнирный момент их
значительно сильнее зависит от угла отклонения, чем от изменения угла атаки
крыла. Другое дело -- перекашивание крыльев, когда степень зависимости
шарнирных моментов от угла перекашивания и от изменения угла атаки при
движении крена одинакова, и после перекашивания крылья так и остаются в
приданном им положении, а самолет, начав вращение, продолжает его. При
невозможности остановить вращение самолет неизбежно будет двигаться по
вертикали, так как подъемная сила будет поворачиваться вместе с крылом.
Перейдем к рассмотрению летных характеристик самолета. Основной
характеристикой является запас подъемной силы, т. е. отношение максимальной
подъемной силы к весу. Подъемную силу определим по формуле
При максимальном аэродинамическом качестве Кmах=6, N=70 л.
с. и размахе крыльев l=10,6 м получим максимальную подъемную силу
При нормальном полетном весе, равном 680 кГ, Ymax/G=1,47;
при весе, равном 600 кГ, который, вероятно, близок к весу, имевшему место
при выполнении петли П. Н. Нестеровым, Ymax/G=1,67; для пустого
веса самолета G0=450 кГ величина
Ymax/G0=2,2. Более простыми характеристиками служат
величины, применяемые для статистики:
По полученным значениям можно сделать такие выводы: по запасу подъемной
силы самолет может быть отнесен к категории средненагруженных,
маломаневренных самолетов. Значение KG=8,3 близко к таковому для
современных винтовых самолетов; значение KGo=5,5 несколько велико
и говорит о некотором перетяжелении конструкции. При весе 600 кГ величина
Ymax/G=nу=1,67 позволяет маневрировать со средним
значением перегрузки 1,6, например, делать длительные виражи с креном около
50о. Как известно, П. Н. Нестеров выполнял более крутые виражи;
очевидно, они выполнялись со скольжением, когда наличие нагрузки на боковые
стенки фюзеляжа позволяет увеличить крен, не уменьшая вертикальной
составляющей от подъемной и боковых сил.
На рис. 7, 8 и 9 приведены результаты поверочного аэродинамического
расчета самолета "Ньюпор-4". На рис. 7 дана поляра и зависимость Су от угла
атаки; в нижней части графика дан профиль крыла. На рис. 8 приведены
зависимости мощностей, потребных для преодоления сопротивления, и полезных
мощностей от скорости для высот 0, 1, 2 и 3 км, в условиях горизонтального
полета при полетном весе 600 кГ. По пересечениям кривых получаем значения
максимальных скоростей горизонтального полета; по максимальной разности
мощностей получим избытки мощности DN, по которым затем можем найти
вертикальные скорости Vy=75 DN /G.
Рис. 7. Поляра и профиль крыла самолета "Ньюпор-4":
Рис. 8. График мощностей для самолета "Ньюпор-4": сплошные линии -
потребные мощности; пунктир - располагаемые мощности.
На рис. 9 даны зависимости максимальной скорости Vmax от
высоты; вертикальной скорости от высоты при скорости Vнаб;
скорости при наборе высоты Vнаб и минимальной скорости полета
Vmin. Кроме того, на графике приведены зависимости высоты от
времени подъема t при скорости Vнаб. Графики даны для полетных
весов 600 и 680 кГ.
Рис. 9. Основные летные характеристики самолета "Ньюпор-4" при полетных
весах 600 и 680 кГ
При более точном расчете мы получили максимальную подъемную силу,
равную 980 кГ, при скорости V=25,8 м/сек (93 км/час). При полетном весе 600
кГ это даст перегрузку ny=l,63; ее горизонтальную составляющую
nгор=1,29; центростремительное ускорение jцс=12,6
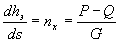
м/сек2; отсюда получим радиус виража
r=V2/jц.с.=53 м и время совершения полного круга
t=2pr/V=13 сек.
Посмотрим теперь, как должна была выглядеть петля, которую выполнил П.
Н. Нестеров. Расчет петли удобно и наглядно можно выполнить исходя из
энергетических принципов. Величину hк=V2/2g будем
называть кинетической высотой -- она характеризует кинетическую энергию
летящего самолета; при полете на минимальной скорости получим величину
hк0=V2min/2g; для самолета "Ньюпор-4" при
полетном весе 600 кГ, hк0=18,5 м.
Таким образом, для коэффициента перегрузки nу получим одно
условие по скорости:
второе условие будет по прочности: nу< nу доп.
Поскольку мы не знаем действительной прочности самолета, примем nу
доп=3,5, что достаточно для выполнения петли. В пределах от
nу=0 до nу mах мы можем произвольно
выбирать значения nу, в зависимости от желаемого характера
траектории; при движении по прямой мы всегда должны брать nу=соs
q. Для получения минимального радиуса кривизны траектории
nу=hк/hк0, но не более nу доп.
Практически целесообразно выбирать такую перегрузку, при которой
самолет будет обладать аэродинамическим качеством, близким к максимальному;
это будет иметь место при условии Сy2
/plэ=Cх0. Значение nу н (т. е. при Cу
н) можно представить в виде
где hк.н -- кинетическая высота горизонтального полета при
максимальном аэродинамическом качестве
Для рассчитываемого случая Cун=1,15; hк.н=21,5 м.
Таким образом, при выполнении криволинейного движения следует придерживаться
перегрузок, определяемых условием nу= hк/21,5, но не
более 3,5 и не более ny= hк/18,5. Имея значение
перегрузки nу и hк, мы можем определить радиус
кривизны траектории в вертикальной плоскости:
Это будет первым уравнением для расчета петли. Второе уравнение
позволит рассчитывать значение hк. Для этой цели мы используем
выражение, связывающее коэффициент продольной перегрузки с изменением уровня
энергии самолета:
Значение nх может быть раскрыто как функция hк и
nу; для Р/G мы подобрали линейную зависимость от hк,
которая справедлива в нужном диапазоне скоростей P/G=0,28--
0,0016hк.
Для Q/G получим
Подставив
получим
В итоге, для полета с работающим двигателем будем иметь
При полете с выключенным двигателем мы отбрасываем тягу винта и
добавляем его сопротивление, что дает DCx0=0,03, и тогда получим
Вообще говоря, можно было бы вместо формул для nх дать
график. Таким образом, мы имеем два уравнения: одно для радиуса кривизны --
простое, и для уровня энергии -- дифференциальное. Кроме того,
вспомогательные связи: hэ=h+hк; ds= rdq; dh=ds sinq.
За текущую координату может быть выбран путь s или угол поворота
касательной к траектории q. Производя расчет движения, пользуясь
дифференциальным уравнением, выбираем шаг расчета Ds или Dq; первый -- на
прямолинейных участках, а на криволинейных участках удобнее брать Dq, так
как мы всегда будем знать среднее значение угла q.
Численное интегрирование усложняется необходимостью делать
последовательные приближения или брать очень малые значения шага. Работа
упрощается, если возможна экстраполяция средних значений величин, входящих в
формулы. Приняв некоторый шаг для угла наклона траектории Dq, мы получим
следующие формулы:
В очередном интервале расчета мы знаем q, выбираем nу и
вынуждены экстраполировать величину hк. ср; если после выполнения
расчета hк. ср окажется иным, мы должны повторить расчет. Чтобы
улучшить экстраполяцию, следует в процессе расчета строить графики
hэ и h пo s и рядом с ними траекторию так, чтобы масштабы были
одинаковы. На рис. 10 и 11 показаны результаты расчета петли для самолета
"Ньюпор-4" применительно к условиям выполнения ее П. Н. Нестеровым.
За исходные условия был взят горизонтальный полет на высоте 900 м при
скорости 90 км/час, что давало hк= 32 и начальный уровень энергии
932 м. Затем происходил переход в пикирование под углом 60o,
которое продолжалось до момента достижения самолетом высоты 650 м с
неработающим двигателем. Благодаря действию сопротивления воздуха, которое
непрерывно возрастало, падал и уровень энергии, так что, когда высота стала
равной 650 м, уровень энергии оказался равным 785 м и hк=135 м,
или скорость ~ 185 км/час. При этой скорости могла бы быть получена
максимальная перегрузка nу=135/18,5=7,3. Начинать петлю нужно
было достаточно осторожно.
Дальнейший расчет производился то интервалам Dq=30o. Когда
самолет начинал выходить из пикирования, сопротивление настолько возрастало,
что, несмотря на включение двигателя, уровень энергии продолжал падать, а
кинетическая высота некоторое время оставалась почти постоянной. Когда же
самолет стал описывать первую четверть петли, величина hк стала
быстро уменьшаться как из-за увеличения h, так и вследствие уменьшения
hэ. Только после прохождения вертикального положения падение
уровня энергии прекратилось, но hк продолжало падать и дошло до
значения hк =10, когда максимальная перегрузка могла иметь
величину, равную лишь примерно 0,5. Таким образом, в верхней точке петли
летчика прижимало к сиденью с силой, равной 30-40% от силы веса. Во второй
части петли hк стало увеличиваться, но не очень сильно, так как
двигатель был опять выключен и уровень энергии стал понижаться.
Рис. 10. Схема расчета петли Нестерова для самолета "Ньюпор-4"
энергетическим методом
По графику, приведенному на рис. 10, можно получить значение
hк в любой точке петли и затем найти скорость по выражению V=4,4
hк1/2. Разделив интервалы пути на средние значения
скорости, можно найти интервалы времени и затем определить время совершения
петли. От начального горизонтального участка до конечного оно оказалось
равным около 10 сек.
На рис. 11 дана общая схема пикирования, петли и последующего
спирального спуска с, креном около 30о. Сопоставив ее с известной
схемой, составленной самим П. Н. Нестеровым, мы можем увидеть весьма большое
сходство между ними.
Рис. 11. Схема снижения, петли и спирального спуска, полученная путем
расчета применительно к условиям выполнения первой петли П. Н. Нестеровым
Высота петли оказалась равной 90 м, что соответствует диаметру виража с
очень большим углом крена, из чего и исходил П. Н. Нестеров. Только форма
петли оказалась не окружностью, а фигурой, которую можно получить, если
взять проволочное кольцо нужного диаметра и, разрезав его в нижней точке,
сдвинуть концы, как бы затягивая петлю. Тогда в нижней части кривизна
уменьшится, а в верхней увеличится.
При совершении петли основной вопрос заключается в правильном выборе
начальной скорости. Перед началом петли самолет должен иметь запас
кинетической энергии, определяемый высотой hк.нач. Высота петли
равна утроенному-учетверенному значению hк.н, соответствующему
горизонтальному полету на наивыгоднейшей скорости,
Dh=D=(3,5-4,0)hк.н, где hк.н=0, 82G/(S
Cун).
Кроме того, при выполнении петли происходит изменение уровня энергии от
действия тяги и лобового сопротивления. Это изменение можно определить
следующим образом. Длина пути полупетли будет равна
Среднее значение перегрузки по пути петли nу~2,3; угол атаки
находится в районе максимального качества. Тогда снижение уровня энергии за
полупетлю составит
Когда самолет окажется в верхней части петли, должна оставаться
некоторая перегрузка -- не менее ny=0,3-0,4, для чего необходим
запас кинетической энергии, равный hк.кон ~(0,3-0,4)
hк.н. В итоге получим
Этот приближенный расчет hк. нач очень близок к тому, что
было получено при выполнении петли. Чем больше P/G, т. е. чем больше
тяговооруженность самолета, тем легче выполнять петлю и тем меньше может
быть начальная скорость. Тяговооруженность самолета, на котором летал П. Н.
Нестеров, была невысока, и перед петлей потребовался основательный разгон
путем пикирования. Мы можем только удивляться тому, насколько правильно
задумал П. Н. Нестеров выполнить петлю -- после пикирования около 300 м.
Будь разгон более слабым, самолет завис бы в верхней части петли, и тогда
непривязанный летчик оказался бы в затруднительном положении.
Может возникнуть вопрос, была ли петля выполнена со снижением или нет?
Если рассматривать этот вопрос только в отношении высот начала и конца петли
при горизонтальной касательной к траектории, то она могла бы быть выполнена
и без снижения при более резком выводе из пикирования. Из схемы, приведенной
на рис. 10, видно, что в этом случае (пунктирный конец петли) скорость
оказалась бы малой и налицо был бы риск сваливания в штопор. Петля считается
выполненной без снижения в том случае, если после выхода из одной петли
самолет готов к выполнению следующей не только по исходной высоте, но и по
уровню энергии. Чтобы это было возможно, тяга двигателя должна обеспечивать
длительный полет с перегрузкой не менее 2,3. П. Н. Нестеров располагал
длительной перегрузкой, равной лишь около 1,6. Чтобы повторить петлю, ему
нужно было бы вновь разгонять самолет пикированием.
Рис. 12 Самолет "Моран-Ж" (1913 г) с ротативным двигателем "Гном"
мощностью 80 л. с. Площадь крыла с подфюзеляжной частью 15,5 м2,
вес пустого самолета около 350 кГ, полетный вес с одним летчиком около 500
кГ.
Приведенная площадь вредного сопротивления F0 была равна
около 1,0 м, т. е. более чем в полтора раза меньше, чем у самолета "Ньюпор".
Причины этого аэродинамического преимущества заключались в меньших размерах
площади крыльев, меньшей общей длине тросовых расчалок крыльев и,
безусловно, в более аэродинамичной форме капота двигателя. Важнейшим
условием уменьшения сопротивления воздуха является наличие в носовой части
тела гладких выпуклых поверхностей, на которых развивается пониженное
давление, в большей или меньшей степени компенсирующее повышенное давление в
районе центральной носовой части тела.
У самолета "Моран" капот двигателя был полукольцевой; впоследствии на
самолетах с ротативными двигателями стали применять кольцевые капоты,
благодаря которым величина F0 была еще более уменьшена. Теория
кольцевых капотов для двигателей с звездообразным расположением цилиндров
была разработана значительно позже -- в тридцатые годы. Уменьшение величины
F0 при повышенной мощности двигателя дало увеличение скорости до
130-135 км/час (вместо 110 км/час у самолета "Ньюпор"). Если кинетическая
высота hк=V2/2g у самолета "Ньюпор" составляла около
48 м, то у самолета "Моран" она равнялась 70 м; это было важное преимущество
при выполнении фигур высшего пилотажа.
Несмотря на меньшую величину F0, максимальное
аэродинамическое качество самолета "Моран" было равно примерно 6,5, т. е.
оно было таким же, как у самолета "Ньюпор", вследствие меньшего размаха
крыльев.
На рис. 13 даны поляра и форма профиля крыла самолета "Моран-Ж".
Подобный профиль очень типичен для того времени; его относительная толщина
составляет лишь около 5%, а носовая часть довольно сильно изогнута. Это
приводит к довольно значительному увеличению коэффициента сопротивления при
малых углах атаки, что, однако, не сказывается на основных летных
характеристиках.
На рис. 14 даны графики мощностей, потребных для горизонтального полета
при весе 500 кГ, и графики полезных мощностей для высот от нуля до 4 км. По
пересечениям кривых мы получаем максимальные скорости горизонтального
полета, а по максимальной разности мощностей находим вертикальные скорости
на режиме взлета:
На рис. 15 приведены основные летные характеристики самолета "Моран-Ж"
-- максимальная и минимальная скорости, скорость Vнаб,
соответствующая максимальной вертикальной скорости, вертикальная скорость на
разных высотах и время подъема на высоту, полученное путем приближенного
интегрирования
При скорости полета 120 км/час на высоте 1000 м потребная мощность
составляет 44 л. с., а мощность, развиваемая двигателем, будет около 53 л.
с. (см. рис. 14). При удельном расходе топлива, равном 0,26-0,28 кг на
лошадиную силу в час, и к. п. д. винта, равном 0,75, часовой расход топлива
будет равен около 16-17 кг/час.
Рис. 13 Поляра и профиль крыла самолета "Моран-Ж"
При запасе топлива в 50 кг время полета будет равно около 3 часов и
дальность полета около 350 км. Сравнивая летные характеристики самолета
"Моран-Ж" с характеристиками самолета "Ньюпор-4", мы видим, что самолет
"Моран-Ж" имеет значительные преимущества.
Важнейшим показателем маневренных возможностей самолета является
величина максимальной перегрузки, обеспечиваемой двигателем,
ny=Ymax/G, равной отношению максимальной подъемной
силы к весу. У самолета "Ньюпор-4" мы имели nу=1,65, у самолета
"Моран-Ж" nу=2,0. Впоследствии у маневренных истребителей
величина nу стала достигать величины, равной 3,0, и даже 3,5.
При вираже на скорости 30 м/сек на малой высоте и при коэффициенте
перегрузки nу =1,9 мы получим радиус виража
и время совершения полного круга
Остановимся еще на некоторых особенностях самолета "Моран-Ж". Профессор
В. П. Ветчинкин производил определение положения центра тяжести для ряда
самолетов того времени, в том числе для самолета "Моран-Ж". Однако он
интересовался только углом выноса шасси, т. е. наклоном линии, соединяющей
центр тяжести с осью колес, и не отметил координаты центра тяжести по
отношению к крылу. Их можно найти по схеме самолета, но не особенно точно.
Произведя графическое построение, мы получили центровку 27-28%. Это необычно
передняя центровка для самолетов того времени. С пассажиром она составляла
около 30-31%.
Рис. 14. График мощностей для самолета "Моран-Ж" при полетном весе 500
кГ.
Горизонтальное оперение самолета состояло из одного руля высоты, что
имело место и у некоторых других самолетов того времени. Однако площадь
горизонтального оперения была небольшой и составляла около 1,6
м2. Положение фокуса самолета следует оценить (по расчету) в 35%
от длины хорды крыла, конечно, при зажатом руле. Таким образом, самолет,
несомненно, был статически устойчив и, тем более, устойчив по перегрузке.
Рис. 15. Основные летные характеристики самолета "Моран-Ж" при полетном
весе 500 кГ
Небольшой по площади руль высоты, имевший к тому же значительную осевую
компенсацию, давал совсем незначительные аэродинамические шарнирные моменты;
в сочетании с незначительным трением это приводило к необычайной легкости
управления рулем высоты и, несомненно, давало слабую зависимость усилия от
перегрузки. В то же время, боковое управление перекашиванием крыльев было
довольно тяжелым. Короткая ручка управления заканчивалась небольшой
"баранкой", за которую держался летчик. Таким образом, получалась
дисгармония в управлении -- большие усилия в одном направлении движения
ручки и очень малые в другом. Руль направления площадью в 0,5 м2,
тоже с осевой компенсацией, требовал совсем незначительных усилий на
педалях.
У самолета "Моран-Ж" была еще одна особенность в управлении. Если
летчик небольшим усилием на педалях отклонял руль направления, создавая этим
скольжение, то на ручке возникало большое усилие, стремящееся отклонить ее в
сторону, обратную ходу педали, так как косое обтекание крыльев приводило к
тенденции их перекашивания. У самолета Моран "Парасоль" эта особенность в
управлении самолетом проявлялась столь резко, что, отклонив руль
направления, летчик не мог удержать ручку от ухода ее в сторону.
Указанная специфика управления требовала достаточной тренировки
летчика, вызывала трудности при обучении, осложненные отсутствием двойного
управления, но при надлежащем освоении техники управления эта особенность
позволяла летчику выполнять самые разнообразные фигуры высшего пилотажа --
петли, перевороты, падение листом, штопор и др. Прочность самолета, и
особенно его пилотажных вариантов, была высокой. Случаи поломки этого
самолета в воздухе автору не известны.
При наличии у самолета "Моран-Ж" только одного руля высоты
симметричного профиля, без неподвижной части -- стабилизатора, самолет не
мог летать с брошенной ручкой. Поскольку на крыло при отсутствии подъемной
силы действовал пикирующий момент, в случае брошенной ручки самолет должен
был перейти в пикирование с дальнейшим переходом в перевернутый полет. Как
известно, после тарана, который произошел на высоте около 1000 м, до высоты
50 м П. Н. Нестеров выполнял спиральный спуск, но затем самолет перешел в
пикирование и упал в перевернутом положении. Такое поведение самолета
свидетельствует о том, что П. Н. Нестеров потерял сознание и отпустил ручку
управления; после перехода на отрицательные углы атаки и отрицательное
значение nу он был выброшен из самолета, поскольку не был
привязан.
Аэродинамическое качество самолета с учетом сопротивления винта было
равно примерно 5,7. Однако практически самолет снижался довольно круто по
следующей причине: чтобы вращение винта не прекратилось при спуске, летчик
старался держать повышенную скорость, тем самым отдаляя самолет от режима
максимального качества. Так, при скорости 100-110 км/час аэродинамическое
качество становилось равным 4,5. Поломки при посадке были часты -- в
основном, погнутость оси колес. При повреждении шасси или при наличии сноса
в момент касания самолет становился на нос или даже переворачивался на спину
-- "капотировал".
Нет сомнения в том, что П. Н. Нестеров в совершенстве овладел самолетом
"Моран-Ж", свободно и точно на нем маневрировал и уверенно совершал посадки
на небольшие полянки. Следует напомнить, что длина разбега самолета была
равна 75-80 м и время разбега -- около 7 сек; длина пробега при посадке --
80-90 м; взлетная дистанция до набора высоты, равной 10-15 м, составляла
около 200 м; угол подъема на малых высотах -- около
8o-10o. При наличии профиля крыла с большой кривизной
и установочного угла крыла по отношению к фюзеляжу, равного
5o-6o, линия нулевой подъемной силы составляла с осью
фюзеляжа угол 10o-12o. При наборе высоты угол наклона
фюзеляжа оказывался меньше наклона траектории и создавалось впечатление, что
самолет "вспухает", т. е. поднимается почти при горизонтальном положении
фюзеляжа. При спуске, наоборот, наклон фюзеляжа был больше наклона
траектории, создавая иллюзию более крутого спуска; но зато это
обстоятельство улучшало обзор вперед.
В 1918 г. профессор В. П. Ветчинкин в полете на самолете "Моран-Ж",
пилотируемом известным летчиком, героем Гражданской войны Ю. А.
Братолюбовым, впервые произвел измерения перегрузок при полете в "болтанку"
и при выполнении фигур высшего пилотажа. Эти исследования имели очень важное
значение для разработки требований к прочности самолетов.
Рис. 16. Схема самолета, спроектированного П. Н. Нестеровым в 1912 г, с
оперением оригинального типа
Рис. 17. Схема самолета Этриха "Таубе" (1911 г.)
Рис. 18. Схема планирующего семени "Цанония"
Центр тяжести его расположен так, что центровка получается передней.
Австрийские конструкторы Этрих и Вельс сначала просто воспроизводили это
семя в большом масштабе, а затем добавили к нему хвост, похожий на хвост
коршуна, и получилась схема "Таубе". Один из самолетов Этриха "Таубе" был в
Петербурге в 1911 г. и летчик Лерхе принял участие в перелете на этом
самолете по маршруту Петербург -- Москва. Впоследствии самолеты этой схемы
получили распространение в Австрии и Германии -- например, "Гота-таубе",
"Румплер-таубе" и др. Были и бипланные варианты схемы "Таубе". Об
особенностях аэродинамических свойств схемы "Таубе", к сожалению, автору
ничего неизвестно. Аэродинамика их была посредственной из-за наличия у них
множества растяжек, открытого расположения двигателя, больших радиаторов
охлаждения и других неукрытых деталей. Естественно, скорость их была
невелика.
Схема "Таубе" применялась с 1910 по 1915 г., причем в начале первой
мировой войны в австро-германской армии таких самолетов было много, и
наименование "Таубе" стало нарицательным для самолетов противника России.
Однако самолеты "Таубе" постигла та же судьба, что и монопланы "Ньюпор" и
"Моран". Германия и Австрия перешли на фюзеляжные бипланы, типичными
образцами которых были "Шнейдер", "Альбатрос" и "Даймлер", подобный тому,
который был сбит П. Н. Нестеровым. Фюзеляжный биплан начал развиваться в
России; Я. М. Гаккель применил эту схему еще в 1908-- 1909 гг., И. И.
Сикорский разработал прекрасные образцы фюзеляжных бипланов в 1911-- 1912 г.
и применил ее на самолетах "Гранд" и "Илья Муромец".
П. Н. Нестеров принял за основу своего самолета схему "Таубе" по ряду
соображений. Во-первых, у этого самолета органы управления не поворачиваются
на шарнирах, а выгибаются. Однако вместо раздельных рулей высоты и
направления, он применил одну горизонтальную поверхность, которая при
выгибании дает эффект не только руля высоты, но и руля направления. Для этой
цели ось отгиба расположена косо (см. рис. 16, пунктирная линия). Форма
крыльев самолета "Таубе" характерна не только оттянутыми назад концами, но и
их выгибом вверх. Благодаря этому в полете концевые части крыла оставались
ненагруженными или слабо нагруженными, сохраняя свою эффективность для
поперечного управления и при больших углах атаки. Но было здесь и другое
соображение.
П. Н. Нестеров хотел избавиться от вертикального оперения, которого не
имеют птицы. Не нужно думать, что у самолетов вертикальное оперение было
применено только ради выполнения поворотов без крена. Первыми практически
применили выгибание крыльев для поперечного управления братья Райт. Применяя
это управление, они обнаружили довольно неприятное явление -- при выгибании
концов крыльев в разные стороны самолет вращался вокруг продольной оси в
нужном направлении и одновременно стремился повернуться вокруг вертикальной
оси в обратную сторону.
Так, если летчик накренял самолет вправо, в процессе этого движения
самолет обнаруживал довольно сильное стремление повернуться влево, что было
совсем нежелательно. Для устранения разворота летчик должен был всегда,
одновременно с выгибанием крыльев, действовать и рулем направления, а
последний должен был быть достаточно мощным, чтобы преодолевать
разворачивающий момент. Это свойство заставило братьев Райт применить
своеобразную систему управления. На их самолете было две ручки управления --
правая и левая; ножные педали отсутствовали. Левая ручка управляла рулем
высоты, а правая при движении в стороны -- выгибанием крыльев, а при
движении вперед и назад -- рулем направления. Таким образом, одним косым
движением правой ручки можно было одновременно создавать кренящий момент и
бороться с заворачивающим моментом.
На самолете братьев Райт эффект заворачивания при накренении
проявлялся, может быть, сильнее, чем у других самолетов того времени, из-за
большого размаха крыльев, больших углов выгибания их концов и из-за условий
полета при довольно больших углах атаки. Явление нежелательного
заворачивания при вращении вокруг продольной оси обнаружилось и у других
самолетов не только при выгибании концов крыльев, но и при действии
элеронами. При обучении полетам у летчиков вырабатывался рефлекс
одновременного отклонения ручки и ножных педалей в одну и ту же сторону
(например, при отклонении ручки вправо нажимают и на правую педаль).
Объяснение причины возникновения заворачивающего момента казалось
довольно простым: в той части крыла, где вследствие увеличения местного угла
атаки или отклонения элерона происходит увеличение подъемной силы,
одновременно увеличивается и лобовое сопротивление; у противоположного конца
крыла вместе с уменьшением подъемной силы уменьшается и сопротивление.
Отсюда вытекало соображение, что если исходные углы атаки на концах крыла
будут уменьшены (а, еще лучше, близки к нулю), то эффект заворачивания будет
ослаблен или даже уничтожен.
В двадцатые годы вопросу борьбы с заворачивающим моментом уделялось
большое внимание. Кроме описанного уже уменьшения нагруженности концов
крыльев, предлагались: дифференциальное отклонение элеронов, когда
поднимающийся элерон отклонялся на больший угол, чем опускающийся; плавающие
элероны, которые независимо от угла атаки крыла оставались на нулевом угле
атаки; специальные формы профиля элеронов, при которых при поднятии элерона
происходил местный срыв обтекания, благодаря чему возникало повышенное
сопротивление. Все эти мероприятия не нашли широкого применения и, в
сущности, были оставлены. Вопрос борьбы с заворачиванием решался
использованием руля направления и повышением путевой устойчивости. Размеры
вертикального оперения неуклонно росли из-за необходимости обеспечить
путевую устойчивость, уравновешивание самолета при несимметричной тяге
двигателей и вывод из штопора. К этому нужно прибавить, что крейсерские
режимы полета стали соответствовать меньшим углам атаки крыла и поэтому
эффект заворачивания не служил помехой при пилотировании.
Нужно напомнить, что поперечное управление самолетом может
производиться не только элеронами и искривлением концов крыльев, но и путем
использования эффекта скольжения, вызываемого отклонением руля направления.
На большинстве самолетов полет можно производить, не пользуясь поперечным
управлением, а используя эффект скольжения, хотя это и имеет известные
неудобства. Строились даже самолеты, совсем лишенные поперечного управления.
Подобный самолет конструкции А. Г. Фоккера был и во времена П. Н. Нестерова.
Объяснение причины возникновения заворачивающего момента различием в
сопротивлениях было, в сущности, неправильным. Рассуждение о различии в
сопротивлениях могло относиться к начальному моменту, когда после отклонения
элеронов или искривления концов крыла самолет еще не приобрел скорости
накренения, или угловой скорости относительно продольной оси самолета.
Однако самолеты того времени очень быстро приходили во вращение с постоянной
угловой скоростью и благодаря окружным местным скоростям в сечениях крыла
подъемные силы крыльев выравнивались. Для определения заворачивающего
момента нужно было исходить не из сил сопротивления, а из их составляющих,
параллельных продольной оси самолета. В итоге, подъемные силы оказывались
равными и различие в силах сопротивления было незначительным. Самое основное
заключалось в том, что направления действия подъемных сил в районе концевых
частей крыла были различными. У опускающегося конца крыла подъемная сила
наклонялась вперед, у поднимающегося -- назад. Взяв составляющие этих сил по
направлению продольной оси, мы и получим заворачивающий момент.
Таким образом, причиной возникновения заворачивающего момента являлось
органическое свойство крыла, связанное с наличием подъемной силы и угловой
скорости вращения вокруг продольной оси. Заворачивающий момент прямо
пропорционален окружной скорости концов крыла при вращении и обратно
пропорционален скорости полета. Из этого следует, что без отклонения руля
направления нельзя выполнять правильное накренение.
Как же управляют креном птицы? Проще всего этот вопрос решается в том
случае, если птица может махнуть крылом; тогда вместе с увеличением
подъемной силы появится момент, действующий в сторону поворота, а не в
обратную. Парящие птицы обычно совершают полет с распущенным хвостом,
который создает известную подъемную силу. Они могут поворачивать хвост
вокруг продольной оси, наклоняя тем самым подъемную силу хвоста и создавая
эффект, аналогичный отклонению вертикального оперения. Однако при парящем
полете чаек можно наблюдать, что хвостовое оперение у них полностью сложено
и, следовательно, управление полетом происходит исключительно с помощью
крыльев. Продольное управление может производиться очень незначительным
перемещением крыльев относительно корпуса -- вперед и назад; поперечное
управление -- выгибанием крыльев. Что касается путевого управления и
преодоления заворачивающего момента при выгибании крыльев птицами, то этот
вопрос в полной мере не выяснен. Разгадку можно искать в своеобразии
выгибания крыльев.
Рассмотрим теперь, как работает оперение, предложенное П. Н. Нестеровым
(рис. 16 и 19). Для простоты будем рассматривать вариант, который был
реализован П. Н. Нестеровым на самолете "Ньюпор-4" в начале 1914 г. и
который был им испытан в полете. Схема этого оперения схематически
воспроизведена нами по фотографии и, конечно, неточна. Обе половины оперения
поворачиваются (или, вернее, выгибаются) относительно оси, составляющей угол
около 30о с поперечной осью. Тогда нагрузка, действующая на
оперение при его отклонении, даст составляющие силы -- вертикальную и
боковую. Если обе половины отклонены на равные углы, то боковые составляющие
взаимно нейтрализуются; если они отклонены в противоположные стороны на
равные углы, то направление действия результирующей боковой силы оперения
будет зависеть от его угла атаки и эта сила будет равна нулю при нулевом
угле атаки. Если некоторые птицы в планирующем и парящем полетах
поворачивают хвост вокруг продольной оси туловища, то в схеме, предложенной
П. Н. Нестеровым, мы получаем подобный же геометрический эффект при
отклонении половин руля в разные стороны.
Рис 19. Схема оперения, установленного и испытанного П. Н. Нестеровым
на самолете "Ньюпор-4" в 1913 г
Мы не знаем, какое впечатление сложилось у П. Н. Нестерова в результате
полетов на самолете "Ньюпор-4" с предложенным им оперением и как он учел
этот опыт при проектировании своего нового самолета. В литературе 1910--
1913 гг. можно встретить большое количество статей по вопросам устойчивости
и особенно относительно мероприятий по борьбе с авариями. Высказывалось
много ошибочных и даже наивных соображений. Стремясь обеспечить устойчивость
самолета, многие авторы изыскивали средства для удержания самолета в
нормальном положении, базируясь на теории маятников или гироскопов. Надежды
на теорию маятника были вообще ошибочны, и причина ошибки была разъяснена Н.
Е. Жуковским. Однако и гироскоп сам по себе не мог обеспечить стабильность
положения самолета в пространстве.
Самолетом можно управлять по воле пилота или по командам от
гироскопического автопилота только при соблюдении основных условий динамики
полета и, в первую очередь, при наличии достаточной кинетической энергии.
Этого многие не учитывали. А между тем, еще в 1891 г. Н. Е. Жуковский в
работе "О парении птиц" раскрыл основы динамики полета летательных
аппаратов. Идеи, которые выдвигал П. Н. Нестеров, в то время не только не
были "модными", но и противоречили широко распространенным взглядам. Можно
сказать, что П. Н. Нестеров являлся ближайшим наследником идей Н. Е.
Жуковского. То, что Н. Е. Жуковский обосновал теоретически, П. Н. Нестеров
выполнил на практике, с полным пониманием основ динамики полета.
С того времени многое разъяснилось и переменилось. Забылись ошибочные
толкования и ложные теории. Динамика полета в среде постоянной плотности
получила развитие применительно к движению в значительной области высот,
когда плотность воздуха меняется, а затем и применительно к условиям полета,
когда направление действия силы тяжести быстро меняется, т. е. к выходу на
круговые околоземные, а затем и на дальние космические орбиты. Вклад в
теорию и практику полета, сделанный П. Н. Нестеровым, весьма ценен сам по
себе. Его жизнь и деятельность будет служить нам примером того, как, сочетая
знания, вдумчивость и отвагу, можно за очень короткий срок получить
важнейшие результаты.
2. Первые тяжелые
грузоподъемные самолеты
Эта формула дает быстрый начальный рост Gпол по мере
увеличения n, а затем, после достижения некоторого максимума, следует
быстрое уменьшение Gпол в результате резкого увеличения веса
конструкции. Изобразив эту зависимость графически (рис. 1), мы можем видеть,
что изменение параметра С и показателя степени при весе конструкции m, будет
вызывать очень значительное изменение как максимальной полезной нагрузки,
так и соответствующего ей масштаба летательного аппарата. Понимая
недостоверность знаний об истинных значениях величин С и m, авторы
исследований, естественно, бывали осторожны в своих выводах.
На графике, приведенном на рис. 1, были приняты различные зависимости
весов конструкции и двигателей от масштабного множителя n. В качестве
исходных при n=1 были приняты значения Gдв0/G = 0,25 и
Gкон0/G=0,3; тогда Gпол0/G =0,45. На графике по оси
ординат показано относительное изменение полезной нагрузки, т. е. величина
Gпол/Gпол 0. Кривая 1 соответствует росту веса
двигателя по n2 и веса конструкции по n3.
Рис. 1. Относительное изменение грузоподъемности самолета при изменении
его размеров для разных законов зависимости веса конструкции от размеров
самолета.
В этом случае максимальная полезная нагрузка будет при n=1,67, а при
n=2,5 полезная нагрузка становится равной нулю вследствие резкого
возрастания веса конструкции.
Кривая 2 относится к случаю, когда вес конструкции пропорционален n в
степени 8/3, т. е. немного ниже кубичной. Как видно, полезная нагрузка
самолета в этом случае значительно возросла и имеет максимум при n=2,5.
Кривая 3 была построена при весе конструкции, пропорциональном n в
степени 5/2, и это дало увеличение полезной нагрузки в 5,5 раза по сравнению
с исходным значением.
Наконец, кривая 4 построена при условии, что вес конструкции меняется
тоже пропорционально n5/2, но, кроме того, с ростом n запас
мощности понижается так, что вес двигателей будет пропорционален n в степени
5/3. В этом случае максимальная полезная нагрузка оказалась увеличенной
более чем в 10 раз по сравнению с исходной при n=1. Вес самолета будет
увеличен в (5,5)2, т. е. в 30 раз; относительные параметры будут
такими: Gдв/G=0,14; Gкон/G=0,7;
Gпол/G=0,16.
В последнем случае, хотя и был достигнут максимум полезной нагрузки, но
самолет оказался очень неэкономичным из-за относительной малости полезной
нагрузки. Мы привели рис. 1, чтобы показать, какой эффект может дать
изменение показателей степени.
В той же работе Н. А. Яцук проводит исследование для случая увеличения
грузоподъемности самолета при сохранении его размеров, но при увеличении
скорости в m раз. В этой задаче он ссылается на французского ученого А. Сее,
который опубликовал свою работу в журнале "L'Aerophille" от 15 января 1910
г. Александр Сее был выдающимся ученым того времени, работавшим в области
летательных аппаратов. Им было опубликовано много интересных работ в
журналах "L'Aerophille" и "La Technique Aeronautique", и они, несомненно,
оказали важное влияние на развитие авиационных наук.
Задача о зависимости грузоподъемности от скорости формально не
отличается от рассмотренной выше, но только по кубичному закону меняется не
вес конструкции, а вес двигателей, так как с ростом скорости мощность должна
меняться по кубу скорости, а вес двигателей принимается пропорциональным
мощности в первой степени. Можно было бы указать, что это тоже очень грубый
расчет, так как с ростом мощности, т. е. при увеличении размеров или числа
двигателей, аэродинамическое подобие не соблюдается и при увеличении
скорости как мощность, так и вес двигателей будут увеличиваться более
сильно, чем по кубичной степени.
Если исходить из постоянства значений G/N и G/S и принять G/N=10 и
G/S=15-30, то мы получим такие выражения для полетного веса и площади
крыльев:
Так, при N = 50 л. с. вес самолета будет равен ~500 кГ и площадь его
крыльев S -- от 16 до 32 м2. Эти значения довольно близки к
характеристикам многих самолетов 1910-- 1912 гг.
Исследуя условия полета, аэродинамики пришли к выводу, что постоянство
параметров G/S и G/N не является необходимым. Из выражения для мощности,
потребной для полета на подобных режимах при подобных аэродинамических
формах, следует, что необходимо иметь постоянство величины
Впоследствии эта величина именовалась числом Эверлинга, характеризующим
аэродинамическое совершенство самолета. Это вытекает из преобразований
формулы для величины мощности, потребной для горизонтального полета, равной:
где К -- аэродинамическое качество и h -- коэффициент полезного
действия винта.
Подставляя выражение для скорости, получим
Для некоторого самолета периода 1911 -- 1912 гг. G/S = 25, G/N=10;
тогда
Здесь мощность взята полная, а не потребная для горизонтального полета,
т. е. с запасом. Поскольку запас мощности примерно двухкратный, для
максимальной подъемной силы получим
Напоминаем, что данная величина характеризует аэродинамику самолетов
указанных лет. Определяя полетный вес, получим следующие формулы:
Эти выражения наглядно показывают, как влияет на полетный вес изменение
мощности двигателей и площади крыльев. Однако интерес представляет полезная
грузоподъемность, т. е. разность полетного веса и суммы весов конструкции и
двигателей.
В общем случае полетный вес самолета можно представить формулой
Отношение Nmax/N характеризует запас мощности, который
самолет должен иметь при полете на малой высоте. Этот запас выбирается в
зависимости от назначения самолета и желаемой высоты потолка. Как минимум,
запас мощности бывает около 2; средний запас мощности равен примерно 3, а у
маневренных самолетов его доводят до 5-6.
У самолета определенной аэродинамической схемы при некотором
наивыгоднейшем угле атаки aн аэродинамическое качество
максимально, а максимум величины Cу/Cх2/3
соответствует экономическому углу атаки aэ, который примерно в
1,5-1,7 раза больше наивыгоднейшего. Хорошо известно, как сильно было
повышено аэродинамическое качество самолетов в процессе их развития.
Аналогичным образом возросла и величина
Cу/Cх2/3. Аэродинамический фактор явился
очень эффективным средством увеличения грузоподъемности самолетов.
В 1921 г. была опубликована работа научного сотрудника Центрального
Аэрогидродинамического Института, инженера-летчика, В. Л. Моисеенко
"Предельные размеры самолетов" (Отдел военной литературы при РВСР, Научная
редакция воздушного флота). В первой части работы В. Л. Моисеенко почти
повторяет расчеты Н. А. Яцука, но за основной параметр он принимает не
отвлеченный фактор масштаба, а мощность двигателей N.
Для веса конструкции была принята зависимость от мощности в степени
3/2, что равноценно кубичной степени по фактору масштаба п. В. Л. Моисеенко
не ищет оптимальный по грузоподъемности самолет, а просто проверяет
конкретные самолеты с точки зрения целесообразности увеличения их размеров и
мощности двигателей. В этой части работы В. Л. Моисеенко в сущности
показывает, что практически созданные самолеты имеют параметры, близкие к
оптимальным. Как исключение, приводится самолет "Илья Муромец", который, по
выводам В. Л. Моисеенко, чрезмерно велик.
Во второй части своей работы В. Л. Моисеенко рассматривает вопрос об
оптимальных размерах самолета в более широком плане, используя для веса
конструкции формулу инженера-механика (впоследствии академика) Б. Н. Юрьева.
Мы привели работу В. Л. Моисеенко потому, что она отражает взгляды, на
возможность создания грузоподъемных самолетов в те годы, когда уже был опыт
строительства самолетов "Илья Муромец" и других самолетов, созданных в
период первой мировой войны, но еще не получила развития теория индуктивного
сопротивления Прандтля, которая изменила взгляды теоретиков и практиков на
условия получения большой подъемной силы.
Посмотрим, как решали проблему повышения грузоподъемности самолетов
конструкторы-практики. На многочисленных авиационных состязаниях и конкурсах
самолетов значительное место уделялось достижениям по грузоподъемности, и
конструкторы, естественно, задумывались над тем, какими мероприятиями ее
можно повысить. Простота конструкции самолетов того времени, примитивность
применяемых расчетов, отсутствие каких-либо испытаний на прочность и
упрощенная проверка центровки позволяли быстро строить новые самолеты. Очень
распространены были и модификации уже готовых самолетов, полученные путем
перестройки отдельных их частей. Преуспевающие фирмы создавали по 2-- 3 типа
и более самолетов в год.
В период 1910-- 1920 гг. конструкторы самолетов руководствовались в
своей работе некоторыми теоретическими соображениями, но больше
экспериментировали интуитивно, стараясь улучшить свои самолеты. Многие
эксперименты оказывались неудачными, но некоторые из них дали положительный
эффект. Объяснить причину удачи или неудачи не всегда могли, хотя,
естественно, пытались это сделать. Подражательство у конструкторов было так
сильно развито, что трудно установить, кто первый применил то или иное
удачное нововведение.
Как мы уже указывали, увеличение площади крыльев позволяет увеличить
подъемную силу, хотя и в слабой степени. В формулу для G площадь S входит
под кубичным корнем. Однако конструкторы-практики обратили внимание на то,
что увеличение размаха дает значительно лучший эффект, чем увеличение ширины
крыла. Это можно наглядно видеть по развитию самолетов фирмы "Фарман".
Так, если самолет "Фарман-4" имел размах крыльев 10,5 м, то затем фирма
стала наращивать размах верхнего крыла и постепенно перешла к схеме биплана
с размахом верхнего крыла, значительно большим, чем размах нижнего. Самолет
"Фарман-16" (1912 г.) имел размах крыльев 13,8 м, а "Фарман-22" (1913 г.) --
15,6 м. Самолеты "Фарман-16" и "Фарман-22" были совершенно подобны, с
одинаковыми гондолами экипажа, одинаковой шириной крыльев, но только размах
верхнего крыла у самолета "Фарман-22" был увеличен. Оба самолета применялись
в России, и автор помнит высказывания летчиков о том, что "Фарман-22"
планирует значительно лучше, чем "Фарман-16". Это говорило о более высоком
аэродинамическом качестве первого самолета. Соответственно и
грузоподъемность его была выше, хотя этому способствовал и более мощный
двигатель.
К конструкторам, которые осознали выгоду большого размаха крыльев,
нужно отнести прежде всего И. И. Сикорского. Если в 1910 г. он строил
самолеты с размахом крыльев 10 м, то самолет С-10 (1912 г.), который на
конкурсе военных самолетов показал наибольшую грузоподъемность, имел размах
крыльев около 16 м. Важно отметить, что как у самолетов "Фарман", так и у
самолетов И. И. Сикорского, несмотря на увеличение размаха, ширина крыльев
не увеличивалась.
Однако самый решительный шаг в сторону увеличения размаха крыльев был
сделан И. И. Сикорским в 1913 г., когда он построил сначала самолет "Русский
Витязь" ("Гранд") с размахом крыльев 27 м, а затем самолет "Илья Муромец" с
размахом 34 м (по некоторым сведениям -- 37 м). И. И. Сикорский как инженер
хорошо понимал, что увеличение размаха в 2-- 2,5 раза по сравнению с
размахом, типичным для самолетов того времени, поведет к большому утяжелению
конструкции и что увеличение площади крыла путем его уширения не вызвало бы
такого утяжеления. Однако он выбрал путь увеличения размаха.
Некоторые зарубежные конструкторы того времени -- П. Шмидт, Р. Кодрон,
Л. Бреге -- доводили размах крыльев до 17-- 17,5 м, но это несравнимо с
размахом крыльев самолетов И. И. Сикорского. Автор не помнит, чтобы в
каких-либо теоретических работах того времени рекомендовалось столь
значительное увеличение размаха. Мы уже указали, что В. Л. Моисеенко в 1921
г. сомневался в выгодности большого размаха. Подробный аэродинамический
анализ самолетов "Русский Витязь" и "Илья Муромец" мы приведем далее.
Параметры самолета "Илья Муромец" были выбраны, несомненно, очень
удачно, и его конструкция была технически последовательна для условий того
времени. Если самолет "Русский Витязь" был довольно несуразен, а фюзеляж его
тонок, длинен и недостаточно жесткий, то все его недостатки были устранены в
конструкции самолета "Илья Муромец". Будучи построен в конце 1913 г.,
самолет "Илья Муромец" был быстро освоен в эксплуатации и пилотировании даже
в довольно сложных условиях. Это уже была не "этажерка" и не "стрекоза", как
именовались некоторые самолеты того времени, а действительно воздушный
корабль, поднимающий 1,5-- 2 тонны груза и способный к длительным полетам.
Всего было построено 73 экземпляра самолетов "Илья Муромец" и последние
экземпляры этих самолетов летали еще в 1921-- 1922 гг., т. е. как тип он
прожил почти 10 лет -- для того периода этот срок значительный. Десятки
самолетов "Илья Муромец" принимали участие в боевых действиях в первой
мировой войне и, несмотря на то, что они привлекали внимание германской
зенитной артиллерии и истребительной авиации, только один самолет был сбит
на фронте. Это определялось его высокой живучестью и наличием круговой
пулеметной обороны. Хотя поломок и аварий на этих самолетах было много, но
катастроф относительно мало.
При той широкой системе подражательства и копирования конструкций,
которая имела место в период первой мировой войны, за рубежом самолеты,
подобные самолету "Илья Муромец", были созданы только через 4-5 лет, после
наступления некоторого промежуточного этапа двухмоторных конструкций, и, тем
не менее, зарубежные варианты не были успешными.
Так, например, германские самолеты Цеппелин "Штакен", хотя и были по
размаху даже больше, чем "Илья Муромец", и имели более мощные двигатели,
однако, относительный вес конструкции у них был очень велик и сама
конструкция слишком сложна.
К 1918-- 1920 гг. относится увлечение трехпланными и даже
четырехпланными конструкциями. Примером огромного триплана может служить
самолет Tarrant "Tabor", построенный в Англии в 1919 г. Он имел 6 двигателей
по 500 л. с. каждый, размах по среднему крылу составлял 40 м, высота
самолета около 11 м (у самолета "Илья Муромец" высота была только 4,5 м),
двигатели были разнесены не только по размаху, но и по высоте, причем ось
винта верхнего двигателя была на высоте около 8 м над землей. Самолет
разбился при первой же попытке взлета, еще не оторвавшись от земли, -- в
результате резкого подъема хвоста он уткнулся носом в землю.
Еще более странно выглядел самолет Капрони СА-60 "Капрониссимо". У него
были три трипланных крыла, поставленных одно за другим, размах крыльев
составлял около 28 м, самолет имел восемь двигателей по 400 л. с. каждый.
Самолет был построен в 1921 г. и тоже разбился при первом взлете. Теория
индуктивного сопротивления показала, что расположение несущих систем одна за
другой является совершенно нецелесообразным, и самолет "Капрониссимо" лишь
демонстрирует, по какому ошибочному пути может идти создание летательного
аппарата при отсутствии теории или благоприятного эксперимента с моделями.
Был и у нас неудачный эксперимент с трипланом. В 1920-- 1921 гг.
специальное конструкторское бюро под названием "Комиссия по тяжелой авиации"
(КОМТА), в состав которого входили виднейшие специалисты по аэродинамике и
самолетостроению, разработало и построило самолет "КОМТА", который должен
был заменить самолет "Илья Муромец". Обладая почти такой же мощностью
двигателей, как и самолет "Илья Муромец", самолет "КОМТА" был сделан по
трипланной схеме и имел размах крыльев всего 16 м, т. е. вдвое меньше, чем у
самолета "Илья Муромец". Самолет долго испытывался и даже без нагрузки с
трудом отрывался. После ряда доводок он, кажется в 1922 г., совершил один
полет по кругу, но к этому времени было уже ясно, что параметры самолета
выбраны неправильно и поверочный расчет с использованием теории индуктивного
сопротивления показал, что запас мощности у него даже без нагрузки очень
мал.
Неудача постигла и самолет В. А. Слесарева "Святогор" (1915-- 1916
гг.); казалось бы, конструктивно он был продуман более тщательно, чем "Илья
Муромец", шасси он имел более высокое и более красивое, но, видимо,
значительно более тяжелое. Основная причина неудачи заключалась в применении
центрального расположения двигателей (в фюзеляже) с передачей мощности на
разнесенные винты. Такая передача давала большую потерю мощности и в итоге
запас мощности у самолета оказался недостаточным.
Следует сказать, что разнесение двигателей по крылу, как это впервые
было сделано на самолете "Русский Витязь", является важным фактором в
снижении веса конструкции у самолетов с большим размахом крыльев.
Центральные силовые установки с расположением двигателей в фюзеляже
казались выгодными аэродинамически. При малой надежности двигателей того
времени привлекала возможность их ремонта в полете; наконец, с помощью
системы передачи можно было легче придать винту оптимальную для него
скорость вращения. Хотя самолетов с расположением двигателей в фюзеляже и с
передачей мощности на разнесенные винты строилось немало, широкого
распространения они не получили.
АНАЛИЗ ГРУЗОПОДЪЕМНОСТИ
САМОЛЕТОВ
На этом мы закончим обзор теоретических исследований и практических
конструкций грузоподъемных самолетов в период до 1921-- 1922 гг., когда
произошел перелом в понимании условий достижения большой грузоподъемности.
Этот перелом был вызван развитием общей теории динамического полета и связан
прежде всего с именами ученых -- Н. Е. Жуковского и Л. Прандтля. Всякое
научное достижение, открытие и крупное изобретение имеет историю своего
развития -- от первичных догадок, через наблюдения, опыты, теоретические
построения, частные решения, к полному осознанию физической сущности и,
наконец, к итоговой теории, устанавливающей количественные зависимости.
Так было и с теорий крыла. Принципы образования тяги и подъемной силы в
воздушной среде в механическом отношении аналогичны. Принцип работы
воздушных движителей, т. е. устройств для создания силы тяги, был открыт
значительно раньше, чем принцип работы крыла. Это можно объяснить тем, что
теоретически это было проще, но главное заключается в том, что воздушному
винту предшествовал водяной винт и другие водяные движители. Из основ
механики следует: чтобы в жидкой или газовой среде при помощи некоторого
устройства получить силу тяги, окружающей среде необходимо сообщать
секундное количество движения, равное желаемой силе тяги. Иначе говоря,
импульс силы тяги должен быть равен, но противоположен по знаку импульсу,
сообщенному массам окружающей среды. Все это было изложено, в частности, в
теории идеального пропеллера, которая была разработана английским ученым У.
Фрудом в 1888 г.
При использовании теории идеального пропеллера для величины силы тяги
при отсутствии осевой скорости было получено такое выражение:
где
--
ометаемая лопастями площадь;
Nдв -- мощность двигателя;
h0 -- относительный коэффициент полезного действия,
характеризующий побочные потери пропеллера, т. е. сопротивление лопастей и
дополнительные скорости потока;
r/r0 -- относительная плотность воздуха;
Kv=10,3(h0)2/3.
Эта формула послужила выражением для подъемной силы вертолета на режиме
висения, т. е. при отсутствии поступательной скорости.
Принцип создания подъемной силы крылом должен быть вполне аналогичен
принципу создания тяги лопастями винта. Можно было утверждать, что за крылом
воздушный поток должен иметь некоторую вертикальную составляющую скорости
движения, направленную против подъемной силы, т. е. вниз.
Основой теории крыла явилась работа Н. Е. Жуковского "О присоединенных
вихрях" (1906 г.). В этой работе было сделано важнейшее открытие, а именно,
что основной эффект крыла состоит в сообщении набегающему потоку
циркуляционного движения, как если бы крыло было заменено вихрем с некоторой
циркуляцией скорости J. Тогда величина подъемной силы Y будет простейшим
образом связана с величиной J, скоростью полета V, плотностью воздуха r и
размахом крыла l: Y=rJVl.
Если крыло имеет определенный размах, то с его концов должны сбегать
свободные вихри. Н. Е. Жуковский убедился в справедливости этого, поставив
специальный эксперимент в аэродинамической трубе.
Свободные вихри, которые сбегают с концов крыла и тянутся за ним, очень
медленно затухая, являются итогом воздействия крыла на воздушную среду.
Исходя из этих вихрей, мы можем восстановить картину воздушных течений и
определить секундный импульс, сообщаемый крылом воздушной среде.
Схема расчета величины подъемной силы, развиваемой крылом с размахом l
и при мощности двигателя Nдв, уже была приведена в статье "На чем
летал П. Н. Нестеров" и была получена следующая формула:
В случае биплана или триплана вместо размаха l в формулу вставляется
эффективный размах lэ:
Здесь h -- высота коробки крыльев; у бипланов h/l имеет значение
0,l-0,2; у трипланов -- 0,2-0,3. У бипланов разнесение крыльев по высоте
эквивалентно увеличению размаха на 6-8%, у трипланов -- на 15-20%. Триплан
"КОМТА" имел размах крыльев 16 м, а эффективный размах у него был равен
около 19 м.
Величину F0 можно найти по известной максимальной скорости,
используя выражение для расходования мощности:
Коэффициент полезного действия винта принимаем ориентировочно равным
0,75-0,80; плотность воздуха и мощность двигателя должны быть взяты в
соответствии с высотой, для которой взята максимальная скорость. Лучше брать
условия полета на малой высоте, когда мощность нам известна точнее, а доля
индуктивного сопротивления меньше.
Если в формулу для подъемной силы подставить выражение для
аэродинамического качества
то мы получим:
Интересно, что эта формула вполне аналогична формуле для статической
тяги винта, но только вместо диаметра винта в нее входит размах крыльев и
значение Ку здесь значительно больше. Теперь мы можем сопоставить
все три формулы для подъемной силы, как они складывались исторически.
Запишем их так:
Если взять для примера N=100 л. с., S=30 м2 и l=12 м, все
три формулы дадут примерно одинаковый результат: Y~1400 кГ. Однако третья
формула дает наибольшие возможности для анализа, так как значение
Ку мы можем раскрыть:
Ку=8,6K1/3h2/3. Значения A и В мы взяли по
статистике для того времени, и при значительном изменении форм и параметров
самолета принятые значения A и В не будут пригодны.
Если взять современный самолет с турбовинтовыми двигателями мощностью
10000 л. с., с размахом l=30 м и площадью крыльев S=100 м2, то по
первой формуле мы получили бы подъемную силу Y1=140 Т, по второй
Y2=47 T и по третьей для аэродинамического качества K=16 и
Ky=18 Y3=80 T. Как видно, первые два выражения дали
ошибочные результаты.
Третья формула ценна не только тем, что она дает наиболее точные
результаты, но и тем, что она последовательно раскрывает роль различных
параметров, особенно, если ее представить в таком варианте:
Однако практически при увеличении размаха крыльев увеличивается и
F0, и поэтому удобнее пользоваться следующим вариантом формулы:
Произведем расчет подъемной силы самолета "Илья Муромец": N=600 л. с.;
h=0,75; l=32 м. Для определения величины F0 воспользуемся
сведениями о том, что при весе 5200 кГ на малой высоте самолет развивал
максимальную скорость Vmax=100-105 км/час, или 29 м/сек.
Используя приведенную выше формулу для мощности, затрачиваемой на
горизонтальный полет, получим:
F0=14,5 м2
При площади крыльев, равной 145 м2, это даст коэффициент
вредного сопротивления Cх0=1,28F0/S=0,128. Если
сравнивать с параметрами современных самолетов, то это огромная величина.
Поскольку у самолета "Илья Муромец" применялся винт фиксированного шага
(винтов с изменяемым в полете шагом тогда еще не было), то при полете с
максимальной подъемной силой число оборотов винта понижалось, а вместе с
этим уменьшались в некоторой степени мощность двигателей и коэффициент
полезного действия винтов. Это приводило к уменьшению подъемной силы
примерно на 6-8%. Аэродинамическое качество самолета будет
Затем находим
Ку=0,938,66,61/30,752/3=12 и, наконец,
величина максимальной подъемной силы будет равна
Y=12(Nдвl)2/3=8650 кГ.
Самолет должен обладать избытком подъемной силы для маневрирования и
подъема. Только на потолке подъемная сила при работе двигателей на полной
мощности будет равна полетному весу, а маневрирование потребует уменьшения
высоты. Соотношение Y/G=ny=1,65; эта величина ny
невелика, но она обеспечивает надежный полет и высоту потолка около 3000 м.
В 1916 г. И. И. Сикорским был построен вариант самолета "Илья Муромец D
bis", или, как его называли, "Дим". При мощности двигателей 440 л. с. и с
уменьшенным до 26 м размахом на нем была получена подъемная сила около 6000
кГ, или на 30% меньше, чем у основного варианта самолета. По свидетельству
инж. В. Моисеенко, "Дим" был забракован по причине малой грузоподъемности.
Перейдем теперь к более детальному рассмотрению характеристик и свойств
самолета "Русский Витязь" и "Илья Муромец".
Рис. 2. Схема самолета "Русский Витязь"
Тандемное расположение двигателей привлекает своей компактностью,
уменьшением сопротивления и особенно тем обстоятельством, что оси винтов в
этом случае мало удалены от центра тяжести самолета и в случае отказа одного
из двигателей заворачивающий момент оказывается относительно небольшим. Этот
фактор бывал часто решающим при выборе тандемного расположения двигателей.
Отрицательное свойство тандемного расположения винтов состоит в том,
что задний винт оказывается в этом случае в струе от переднего винта и его
сила тяги понижается. Это особенно существенно при малых скоростях и мало
существенно при больших скоростях полета. Если у самолета запас мощности
велик, то тандемная установка может оказаться выгодной. У самолета "Русский
Витязь" запас мощности был мал, и поэтому более выгодными были разнесенные
винты. Разнесение двигателей по крылу способствует разгружению крыла от
изгибающего момента и тем самым дает возможность уменьшить вес конструкции
-- это тоже немаловажный фактор.
Таким образом, в зависимости от ряда обстоятельств, выгодным
оказывается одно или другое решение. Если взять некоторую деталь самолета,
например, стойку между крыльями, то можно сделать ее легкой, но сравнительно
толстой -- пустотелой или же, наоборот, сделать ее более тяжелой, но тонкой.
Чтобы способствовать выбору лучшего решения, было введено понятие об
авиационном весе. Под авиационным весом понимался вес груза, на несение
которого данным самолетом затрачивалась такая же мощность, как и мощность,
затрачиваемая на несение рассматриваемой детали, не только обладающей весом,
но и повышающей сопротивление самолета. Исходя из минимума авиационного
веса, можно было выбрать оптимальную конструкцию данной детали. Если
исходить только из условия получения максимальной полезной грузоподъемности,
не стремясь получить большие величины скорости и дальности полета, то
оказывается, что преимущества имеют конструкции, в которых предпочтение
отдается уменьшению веса.
Такое мнение складывалось в связи с тем, что исходили из упрощенных
оценок веса конструкции и роли сил сопротивления. Впоследствии выяснилось,
что можно очень значительно уменьшить силы сопротивления самолета вместе с
довольно значительным уменьшением веса конструкции. Свободнонесущие крылья
очень большого размаха оказались не тяжелее ферменных конструкций, подобных
бипланным коробкам самолетов "Русский Витязь" и ряда других.
При рассмотрении схемы самолета "Русский Витязь" бросается в глаза
большая длина фюзеляжа и довольно большая площадь горизонтального оперения.
Есть указания на то, что имелись опасения по поводу устойчивости самолета, и
поэтому мощность его горизонтального оперения была повышена.
Характеристикой мощности оперения служит величина
где
Sго -- площадь горизонтального оперения;
Lго -- расстояние от центра тяжести самолета до центра
давления горизонтального оперения;
bср -- средняя ширина крыла.
Для самолета "Русский Витязь" Аго приблизительно равно 1,0,
что примерно в 2,5 раза больше среднего значения этой величины для самолетов
того времени, да и для более позднего. Вопросы устойчивости мы рассмотрим
более детально применительно к самолету "Илья Муромец".
Строительная высота фюзеляжа самолета "Русский Витязь" была
относительно мала, и для увеличения его жесткости был поставлен наружный
шпренгель. Кабина экипажа значительно выдавалась из фюзеляжа и имела
довольно грубую аэродинамическую форму. Эти недостатки были устранены в
конструкции самолета "Илья Муромец". Шасси самолета довольно сложное --
имело 8 колес и 6 лыж. Грубость аэродинамических форм, обилие стоек и
растяжек обусловили большое значение приведенной площади сопротивления
F0, которая составляет около 10% площади крыла. Для современных
дозвуковых самолетов она составляет лишь около 1,5-- 2% площади крыла.
Учитывая эффект биплана, получим для самолета "Русский Витязь"
эквивалентный размах крыла, равный 28,3 м; при значении F0,
равном около 12 м2, и мощности двигателей Nдв=400 л.
с. получим максимальное аэродинамическое качество около 6 и максимальную
подъемную силу около 5800 кГ. При полетном весе 4200 кГ запас подъемной силы
будет Y/G=l,38; это, конечно, очень небольшой запас, и он мог обеспечить
лишь пологие виражи на малых высотах и высоту теоретического потолка около
2,5 км при практическом потолке около 2 км.
2-го августа 1913 г. самолет "Русский Витязь" совершил рекордный по
продолжительности полет, пролетав с 7-ю пассажирами 1 час 54 мин. Вес
пассажиров около 550 кГ, часовой расход топлива около 90-- 100 кг; полный
запас топлива около 200-- 250 кГ. Тогда величина нагрузки будет равна 700--
750 кГ и при весе пустотелого самолета, равном 3500 кГ, взлетный вес
получится 4200-- 4300 кГ.
Самолет "Русский Витязь" пострадал от совершенно неожиданного
происшествия: над ним пролетал другой самолет, ротативный двигатель которого
сорвался с моторамы и упал прямо на центральную часть крыла самолета
"Русский Витязь". Самолет "Русский Витязь" не восстанавливали не только
из-за того, что он был сильно поврежден, но, видимо, и потому, что к этому
времени был разработан и, вероятно, уже строился более совершенный самолет
-- "Илья Муромец".
Рис. 3. Схема самолета "Илья Муромец"
Фюзеляж самолета был несколько укорочен, а главное, была увеличена
почти в два раза его строительная высота, и тем самым значительно повышена
жесткость и уменьшено сопротивление. Вместе с увеличением размаха крыльев
увеличилась и их площадь.
При рассмотрении схемы самолета с современной точки зрения бросается в
глаза отсутствие носовой части, достаточно далеко выдвинутой вперед (рис.
3). Это свидетельствует об отсутствии стремления получить "переднюю"
центровку, о преимуществах которой тогда еще не было широко известно.
Самолеты "Илья Муромец" прошли суровую школу боевых полетов в первую
мировую войну в качестве разведчиков и тяжелых бомбардировщиков русской
армии. Это были первые самолеты, которые несли многопудовые бомбы, имели
несколько оборонительных пулеметных установок, в том числе, установки поверх
центроплана, на шасси и сзади -- в концевой части фюзеляжа.
На самолетах "Илья Муромец" впервые был освоен полет в закрытой кабине,
носовая часть которой была полностью застеклена и обеспечивала отличный
обзор передней полусферы. На этих самолетах впервые были установлены
разнообразные пилотажные, навигационные и бомбардировочные приборы, а также
был освоен полет в сложных условиях, при отсутствии видимости земли и при
необходимости "пробивания" облаков.
Первые полеты самолета "Илья Муромец" были вполне успешны, а вскоре на
нем были установлены рекорды не только грузоподъемности, но и дальности и
продолжительности полета. Это свидетельствует об удовлетворительном решении
вопросов устойчивости и управляемости и наличии хорошего запаса подъемной
силы у самолета. Несмотря на свой, казалось бы, малый запас прочности,
самолет "Илья Муромец" успешно переносил полеты в "болтанку", которой в то
время старались избегать даже при полетах на небольших и более прочных
самолетах.
На протяжении примерно 5 лет серийного производства самолеты "Илья
Муромец" подвергались модификациям в основном в связи с заменой двигателей.
Некоторые изменения были внесены в размеры самолета -- размах и площадь
крыльев. Следует отметить также модификацию самолета, связанную с
увеличением запаса его прочности, которая явилась реакцией конструкторского
бюро на имевший место случай поломки самолета в воздухе.
На некоторых самолетах были уширены крылья; видимо, это было связано с
повышением полетного веса при установке более мощных двигателей. Однако, как
мы покажем далее, хорда крыльев у самолетов "Илья Муромец" была относительно
мала, и это не позволяло самолету выходить на режимы максимальной
грузоподъемности. Вообще же самолет "Илья Муромец" был выдающимся для своего
времени явлением по его летным характеристикам и надежности. С позиций
современных знаний по самолету можно было бы сделать много критических
замечаний, однако, без детального рассмотрения особенностей самолета нужно
быть осторожными в суждениях.
Рассмотрим основные аэродинамические и динамические характеристики
самолета "Илья Муромец". Начнем с аэродинамического качества; для его
определения требуется очень ограниченный материал. Мы уже приводили расчет
аэродинамического качества и получили Kmах=6,3-6,6. Для того
времени это довольно высокое качество. Эффективное удлинение крыльев
l=lэ/S=322/140=7,3; в описаниях самолета дается полная
несущая площадь вместе с горизонтальным оперением; мы принимаем, как обычно,
площадь без оперения S=140 м2; Cх0=1,28F/S =0,13.
Максимальное аэродинамическое качество соответствует коэффициенту
подъемной силы
эта величина явно выше максимального значения, и полученное
теоретически максимальное аэродинамическое качество практически использовано
быть не может. Допуская Cу=1,0-1,2, получим
Cx=0,13+Cy2/pl=0,18-0,20 и К=5,6-- 6,0. Для
уменьшения Cун, если нет возможности уменьшить вредную площадь F,
следует увеличить среднюю хорду крыла bcр; так, для получения
Cу=1,2 нужно крылья уширить таким образом, чтобы их площадь стала
равной примерно 200 м2.
Вторым важнейшим параметром самолета является максимальная подъемная
сила Ymах и отношения подъемной силы к весу пустого самолета и к
полетному весу. Используя полученное в разделе "Анализ грузоподъемности
самолетов" значение Ymах=8650 кГ, будем иметь:
Заметим, что здесь значение Ymах несколько завышено, так как
значение Cу, соответствующее Ymах, не может быть
использовано. Упрощенными характеристиками являются параметры
КGо=G0/(Nl)2/3 и
КG=G/(Nl)2/3, которые для самолета "Илья Муромец"
будут соответственно КGо= 5,6 и КG=7,3. Величина
КGо для самолета "Илья Муромец" только немного выше, чем у
тяжелых самолетов 1935-- 1945 гг.
Для более полной характеристики самолета приводим результаты
аэродинамического расчета. На рис. 4 дана поляра самолета с крылом тонкого
профиля и относительной кривизной средней линии около 7%. Такие профили дают
сильное увеличение сопротивления на малых Cу, однако, самолет
"Илья Муромец" при малых Cу не летает; даже при максимальной
скорости на малой высоте при q=58, G/S=37 кГ/м2,
Cу=0,64.
Задаваясь различными значениями Cу и подъемной силы Y,
получим потребные скорости горизонтального полета
сопротивление Q=YCx/Cу и потребную для полета
мощность N=QV/75. На рис. 5 приведены потребные мощности для значений
подъемной силы 4; 5; 6 и 7 Т. Чтобы график был пригоден для разных высот, по
оси абсцисс отложена индикаторная скорость
Vi=V(r/ro)1/2, а по оси ординат величина
N=(r/ro)1/2. На том же графике нанесены полезные
(располагаемые) мощности винтомоторной группы Nпол, тоже
умноженные на (r/ro)1/2 для соответствующих высот
полета. Эти характеристики были получены обычными методами для двухлопастных
винтов с диаметром 3 м и шагом 2 м для расчетного числа оборотов 1300
об/мин.
Рис. 4. Поляра и профиль крыла самолета "Илья Муромец"
Рис. 5. График потребных и располагаемых мощностей
По точкам пересечения кривых потребных и располагаемых мощностей для
соответствующих высот мы получим скорости полета при работе двигателей на
максимальном режиме на постоянной высоте при разных значениях подъемной силы
Y. Полученные характеристики приведены на рис. 6. Если вес самолета равен
подъемной силе, то это будет соответствовать горизонтальному полету, и
график даст зависимости максимальной и минимальной скоростей от высоты.
Рис. 6. Характеристики горизонтальных скоростей
Если вес меньше подъемной силы, то мы получим условия маневра без
изменения высоты с коэффициентом перегрузки ny=Y/G; по значениям
ny и скорости получим радиус виража
При скоростях, меньших максимальных, и при полной мощности двигателей
будет иметь место набор высоты, определяемый избыточной мощностью
DN=Nполн-- N. Максимальную вертикальную скорость получим по
максимальному избытку мощности, определяемому максимальной разностью ординат
кривых потребных и полезных мощностей на графике:
Значения Vy определяем для разных высот и строим график
(рис. 7), по которому уточняем высоту потолка и можем произвести расчет
времени подъема на разные высоты. Время подъема на различные высоты можно
найти путем интегрирования функции Vy по h. Однако для самолета,
подобного самолету "Илья Муромец", можно применить простые соотношения -- за
18 мин самолет поднимается на высоту, равную 50% от высоты потолка, за 36
мин -- на 75% и за 1 час -- на 90% от высоты потолка, независима от
полетного веса.
Рис. 7. Характеристики вертикальных скоростей
Рис. 8. Характеристики взлета для самолета "Илья Муромец"
Расчет расхода бензина выполнен для среднего полетного веса 5000 кГ и
получен минимальный часовой расход около 100 кг/час при скорости 80-85
км/час, что дает расход на 1 км пути Ск=1,25-1,3 кг/км; при
скорости 100 км/час километровый расход составляет около 1,5 кг/км при
часовом расходе 150 кг/час.
Для расчета разбега исходим из таких значений силы тяги:
| V, м/сек | 0 | 10 | 15 | 20 | 25 |
| Р, кГ | 1800 | 1720 | 1570 | 1300 | 1200 |
Рис. 9. Схемы самолетов "Илья Муромец" (а) и Ил-18 (б)
Когда разрабатывался самолет "Илья Муромец", еще не были выработаны
критерии для суждения об устойчивости и управляемости самолетов. Были,
конечно, некоторые теоретические соображения, но оценку свойств самолета
давал летчик, исходя из особенностей его пилотирования. Вопросам развития
идей и теорий по обеспечению устойчивости и управляемости самолетов мы
посвятим специальную работу. Здесь мы попытаемся дать оценку самолета "Илья
Муромец", исходя из основных современных критериев.
Выявление характеристик этого самолета в отношении его управляемости и
устойчивости представляет большой интерес, поскольку самолет был достаточно
тяжелым, своеобразным по схеме, и опыт его эксплуатации в полете достаточно
велик. К сожалению, не сохранилось каких-либо материалов, расчетов и отзывов
летчиков, и поэтому мы вынуждены прибегать к расчетам, которые, естественно,
довольно приближенны.
Первый вопрос, который приходится решать конструктору для обеспечения
управляемости самолета, это выбор площади рулей и их расстояния от центра
тяжести самолета. Этот вопрос решается исходя из практики строительства
самолетов, т. е. из статистики. Статистика дает значительные колебания
величин относительных площадей органов управления и конструктор делает выбор
в соответствии с особенностями своего замысла.
Когда самолет начинают испытывать в полете, площади органов управления
часто подвергаются изменениям.
Площадь горизонтального оперения самолета "Илья Муромец" составляет
около 23% площади крыла и потому его следует оценить как относительно
большое по величине. Плечо оперения составляет около 40% размаха крыльев,
что близко к среднему значению этой величины.
Следующий очень важный вопрос -- это выбор положения центра тяжести.
Ему всегда уделяли много внимания, но в ранние годы развития авиации
критерии выбора положения центра тяжести еще не были надежно обоснованы.
Конечно, и тогда хорошо понимали, что центр тяжести должен совпадать с
центром давления системы "крыло-оперение". Существовали три основных типа
продольной балансировки -- с несущим стабилизатором, с нейтральным и с
отрицательным. Для самолета "Илья Муромец" был выбран первый тип и поэтому
стабилизатор был поставлен примерно с таким же установочным углом, как и
крыло, и профиль стабилизатора был близок к профилю крыла.
Прилагая в центрах давления крыла и оперения силы, пропорциональные их
площадям, и складывая их, мы получим общий центр давления, где и должен
находиться центр тяжести. Проделав этот расчет, мы получим точку, лежащую на
расстоянии, равном 90% длины хорды крыла, от передней кромки. Иными словами,
центровка самолета была около 90%, что по современным взглядам нужно оценить
как чрезвычайно заднюю Примерный расчет положения центра тяжести дал такое
же значение.
Идея несущего оперения впоследствии была отвергнута. Развитие теории
крыла показало, что за крылом имеется скос потока и что стабилизатор,
установленный под тем же углом, что и крыло, будет иметь значительно
сниженную подъемную силу, а центр давления самолета будет смещен вперед.
Установка стабилизатора под углом, большим, чем угол установки крыла, опасна
из-за возможности затягивания самолета в пикирование, и это обстоятельство
было давно известно. Однако самолет "Илья Муромец" летал с указанной задней
центровкой, а недостаток подъемной силы стабилизатора восполняли отклонением
вниз мощного руля высоты.
Согласно принципам балансировки самолетов, которые были развиты в
период 1920-- 1930 гг., центр тяжести самолета должен находиться впереди
точки, называемой аэродинамическим фокусом самолета. Положение фокуса
определяется следующим образом. Предположим, что мы увеличиваем угол атаки
самолета на небольшую величину; тогда получим приращения подъемных сил крыла
и оперения DYкр и DYго; прилагаем их в точках фокуса
крыла и оперения, которые находятся на расстояниях, равных 1/4 длины хорды
(соответственно крыла и оперения), и складываем как параллельные силы; их
равнодействующая и пройдет через фокус. Особенность расчета положения фокуса
состоит в том, что нужно учесть величину удлинения крыльев при определении
приращения Су и учесть воздействие крыла на оперение.
Применительно к самолету "Илья Муромец" мы получим следующее. Пусть у
крыла приращение подъемной силы DYкр=1000; тогда у оперения мы
получили бы меньшее приращение -- соответственно меньшей площади, равное
0,23DYкр, но вследствие того, что оперение имеет меньшее
удлинение, приращение будет еще меньше, и составит 0,17DYкр.
Рис. 10. Схема центровки самолета "Илья Муромец"
При увеличении угла атаки крыла усилится и скос потока за крылом,
который составит около 35% угла атаки, и соответственно снизится приращение
подъемной силы оперения. В итоге получим DYго=0,11
DYкр=110. Определяя положение фокуса самолета (рис. 10), получим
его на расстоянии 1,25 м позади фокуса крыла, или на расстоянии 1,88 м от
передней кромки крыла. Это составит 0,75 длины хорды крыла и, значит, в
итоге центр тяжести оказался не впереди фокуса, а позади него -- на
расстоянии, равном 15% длины хорды крыла.
Самолет, у которого центр тяжести расположен позади фокуса,
расценивается как статически неустойчивый по углу атаки, т. е. как не
способный сохранять угол атаки автоматически. При пилотировании статическая
неустойчивость проявляется прежде всего в том, что для увеличения угла атаки
сначала нужно отклонить руль высоты, как обычно, вверх, но, когда самолет
уже повернется, руль высоты следует не только вернуть в исходное положение,
но и отклонить его в обратную сторону, чтобы не допустить дальнейшего
увеличения угла атаки (тенденцию к чему самолет проявит). В итоге, при
пилотировании летчику приходится больше работать рулем высоты, а освободить
штурвал у такого самолета вообще нельзя. Обратное отклонение руля высоты при
статической неустойчивости будет особенно заметно при посадке, когда перед
касанием самолетом земли руль окажется сильно отклоненным вниз.
Указанное явление, конечно, усложняет пилотирование и требует
повышенного внимания. Однако летчики, так или иначе, осваивались с этими
особенностями. Статическая неустойчивость самолета может привести к
неустойчивости самолета по перегрузке, что является уже опасным и поэтому
совершенно недопустимым.
Пусть в полете по некоторой причине изменился угол атаки; это может
быть движение рулем высоты или действие восходящего воздушного потока.
Изменение угла атаки приведет к увеличению подъемной силы на величину DY и,
следовательно, к увеличению коэффициента перегрузки на величину Dn= DY/G.
Статически устойчивый самолет автоматически вернется к исходному углу атаки,
и приращение будет ликвидировано. Однако на уменьшение перегрузки будет
влиять еще один фактор.
Перегрузка возникает при изменении угла атаки. Угол атаки представляет
собой разность утла тангажа самолета, измеряемого по линии нулевой подъемной
силы J, и угла наклона траектории q, т. е. a= J-- q. При возникновении
перегрузки линия полета (вектор скорости) начинает поворачиваться с
некоторой угловой скоростью, которую легко определить из выражения:
При наличии статической неустойчивости, т. е. когда фокус лежит позади
центра тяжести, самолет тоже начинает вращаться с некоторой угловой
скоростью в сторону увеличения угла тангажа. Расчет этой угловой скорости
более сложен, так как для этого нужно сопоставить момент от возникшей
перегрузки с тормозящим моментом от движения горизонтального оперения.
Для того чтобы перегрузка стала увеличиваться, угловая скорость
вращения самолета должна быть больше угловой скорости вращения вектора
скорости. Допустим, что Dny=0,1 и скорость полета равна 25 м/сек;
тогда угловая скорость вектора скорости будет около 0,04 или 2,3 град/сек.
Избыточная подъемная сила DY=GDny=500 кГ, находящаяся на
расстоянии 0,375 м впереди центра тяжести, даст вращающий момент
Мвр=186 кГм. Учитываем также тормозящий момент оперения от
увеличения его угла атаки при вращении Da=waго/V и равный
Приравнивая оба момента, получим угловую скорость самолета
wсам=0,0075 1/сек, или 0,43 град/сек. Оказывается, вектор
скорости будет вращаться значительно быстрее, чем самолет, и угол атаки
будет уменьшаться. Значит, самолет "Илья Муромец" устойчив по перегрузке.
Если бы мы взяли более быстроходный самолет с таким же положением
фокуса и центра тяжести, то угловая скорость вращения вектора скорости
оказалась бы меньше, а угловая скорость вращения самолета больше, и такой
самолет оказался бы неустойчивым по перегрузке.
Математические теории устойчивости самолета были разработаны довольно
давно и к 1910 г. были опубликованы теории Фербера, Г. А. Ботезата и др. Все
эти теории были близки друг к другу и исходили из линеаризации уравнений
движения, разделения движений на продольные и боковые, и в итоге,
возмущенное движение самолета характеризовалось линейными дифференциальными
уравнениями четвертого порядка. Впоследствии было найдено, что движения
самолета, как продольные, так и боковые, можно разделить на малые --
короткопериодические и большие -- длиннопериодические.
Для сравнительно быстроходных самолетов такое разделение было вполне
приемлемо, а расчет сильно упрощался, так как уравнение четвертого порядка
разделялось на два уравнения второго порядка. Подобное разделение движений
на малые и большие применяется и в настоящее время. Интересно рассмотреть,
применимо ли такое разделение для самолета "Илья Муромец".
Произведенный нами расчет дал следующий результат. Уравнение четвертого
порядка для продольных движений самолета "Илья Муромец" имеет такой вид:
Ему соответствует характеристическое уравнение
l4 + Bl3 + Cl2 + Dl + E = 0;
B = 9; C=13; D = 3,5; E=-1.
В результате мы получили корни характеристического уравнения
l1=-7,3; l2=0,18; l3=-1,17 и
l4=-0,7. Три корня отрицательны и свидетельствуют об устойчивости
трех составляющих движений, а один корень положительный. Постоянные времени
для устойчивых движений будут: Т1=0,135 сек; Т2=0,85
сек; Т3=1,43 сек. Постоянная времени для неустойчивого движения
будет Т4=5,5 сек. Малые значения постоянных времени устойчивых
составляющих характеризуют чрезвычайно быстрое затухание этих движений.
Практически эти движения будут представляться совершенно заторможенными и
неощутимыми для экипажа самолета.
Неустойчивое движение с постоянной времени, равной 5,5 сек,
характеризуется тем, что всякое нарушение параметров движения, например,
перегрузки, будет возрастать вдвое за время, равное 0,75,5=3,8-4 сек.
Например, если в результате возмущения перегрузка увеличилась на 0,1 и стала
равной 1,1, то через 4 сек она будет равна 1,2, через 8 сек -- 1,4 и через
12 сек -- 1,8. Устранить такое изменение перегрузки для летчика никакого
труда не составит, а при полете в неспокойной атмосфере неустойчивость будет
вообще незаметна, так как летчик будет устранять нарушения угла тангажа J с
интервалами времени не более 2-3 сек. Опыт управления неустойчивыми
системами показывает, что трудность удержания равновесия появляется при
постоянных времени менее 0,2-0,3 сек. Неустойчивость с постоянной времени,
равной 5 сек, следует оценить как весьма слабо выраженную.
Важной характеристикой управляемости самолета является соотношение
между моментом, вызванным отклонением руля высоты, и усилием, приложенным
летчиком. Это соотношение имеет размерность длины и называется приведенным
рычагом продольного управления LB. Для самолета "Илья Муромец" мы получили
значение Lв приблизительно 100 м; для большого по размерам
самолета это сравнительно мало, что объясняется отсутствием аэродинамической
компенсации на руле высоты. Если летчик прилагает к штурвалу усилие, равное
1 кГ, то тем самым он прилагает к самолету момент около 100 кГм, что
вызывает угловое ускорение около 0,02 1/сек2; соответственно,
усилие, равное 10 кГ, даст угловое ускорение 0,2 1/сек2. На
некоторых вариантах самолета "Илья Муромец" стрелок мог перемещаться к
кормовой установке, что сообщало самолету момент около 1000 кГм; тогда для
удержания самолета в равновесии летчику нужно было приложить к штурвалу
усилие около 10 кГ. Это, конечно, многовато.
Основной характеристикой продольной управляемости самолета служит
соотношение приращений усилия DPв на ручке или на штурвале
управления и перегрузки Dny. Оно обозначается символом
dPв/dny или Pвn. Имея
характеристику запаса продольной устойчивости по перегрузке
x0=xF-- хT и приведенную длину рычага
продольного управления Lв, мы легко найдем желаемую
характеристику. Прилагая в фокусе самолета, положение которого определено с
учетом эффекта вращения, силу, равную весу самолета G, мы тем самым увеличим
коэффициент перегрузки на единицу и получим момент Mz=
Gx0. Для уравновешивания этого момента мы должны отклонить руль
высоты, приложив к штурвалу некоторое усилие DРв. Зная величину
Lв, мы получим Mz= DРвLв и
затем искомую характеристику управляемости: G x0+ DРв
Lв=0; DРв= - Gx0/Lв;
Pвn = -50000.9/100= - 45 кГ.
Мы получили около 45 кГ на единицу перегрузки, что довольно близко к
тому значению, которое имеется у современных самолетов. Если учесть весовой
момент руля высоты, то величина Pвn значительно
увеличится; продольное управление самолета "Илья Муромец", вероятно, было
довольно тяжелым.
Специального рассмотрения боковой устойчивости самолета не требуется.
Совершенно ясно, что у большого тихоходного самолета боковые движения
апериодично устойчивы и их характеризуют малые постоянные времени. Для
самолета с разнесенными двигателями интересно рассмотреть возможность полета
с несимметричной тягой при остановке боковых двигателей. Остановка одного
крайнего двигателя при скорости 90 км/час приводит к возникновению
заворачивающего момента, равного около 1700 кГм, а остановка обоих
двигателей, расположенных с одной стороны, дает заворачивающий момент около
2500 кГм. Максимальный момент, который дает отклонение рулей направления,
составляет около 3500 кГм; следовательно, при помощи рулей направления
можно уравновесить заворачивающий момент при остановке двух двигателей,
расположенных с одной стороны.
Остановимся еще на движении крена при отклонении элеронов. При
отклонении элеронов самолет начинает вращаться с некоторым угловым
ускорением, которое, однако, быстро уменьшается в результате действия
демпфирующего момента от вращения, после чего устанавливается угловая
скорость накренения, когда момент от элеронов уравновешивается моментом от
эффекта вращения. У тихоходного самолета "Илья Муромец", обладающего большим
размахом крыльев, эффект от вращения должен быть особенно велик. При
отклонении элеронов на 10о; при скорости полета 25 м/сек мы
получим кренящий момент Мх э, равный около 6000 кГм; при моменте
инерции относительно продольной оси самолета Jx примерно 50000
кГмсек2 начальное угловое ускорение будет dwx/dt=
Мх э /Jx =0,12 рад/сек2, демпфирующий
момент от вращения будет около
При постижении равновесия моментов от вращения и от элеронов угловая
скорость будет равна
или 7о в секунду, а конец крыла будет опускаться с
вертикальной скоростью, равной 0,1216=2 м/сек.
Диаграмма зависимости угла крена от времени получилась в виде почти
прямой линии (рис. 11), т. е. как при вращении с постоянной угловой
скоростью, но только эта прямая сдвинута примерно на 1 сек от момента
отклонения элеронов. После установки элеронов в нейтральное положение
самолет затормозит свое движение крена, пройдя примерно еще 7о
угла крена, или 70% от угла отклонения элеронов. При плавном действии
элеронами (как обычно и действуют при пилотировании) самолет сразу начинает
вращаться с постоянной угловой скоростью при отклонении элеронов и сразу
останавливается при нейтральном положении элеронов. Самолет "Илья Муромец"
является классическим примером самолета с полностью заторможенными
вращательными движениями, когда, несмотря на значительную величину моментов
инерции, инерционность почти совсем не проявляется.
Рис. 11. График изменения угла крена по времени при отклонении элеронов
Мы довольно подробно рассмотрели аэродинамические и динамические
характеристики самолета "Илья Муромец" для того, чтобы продемонстрировать,
сколь своеобразны были его свойства. На этом мы заканчиваем рассмотрение
начального периода развития тяжелых самолетов. Последующие периоды также
были весьма интересны и поучительны, и мы намерены вернуться к их
рассмотрению в дальнейшем.
Рис. 1 Схема тарана П. Н. Нестеровым австрийского самолета
Можно предполагать, что у самолета П. Н. Нестерова было повреждено
поперечное управление. Наиболее распространена была версия, согласно которой
П. Н. Нестеров был ранен при столкновении самолетов и потерял сознание.
Отвергать эту версию нельзя, однако, можно и сомневаться в этом, поскольку
сила удара едва ли была велика. При авариях самолета "Моран-Ж" были случаи,
когда даже при полном разрушении самолета при ударе о землю летчик страдал
мало.
Самолет, на котором летел П. Н. Нестеров, превосходил самолет
противника по скорости, скороподъемности и маневренности. Чтобы перехватить
противника, П. Н. Нестерову нужно было только своевременно взлететь, что ему
и удалось. Воздушный бой П. Н. Нестерова напоминал нападение быстрокрылого
сокола, который, используя снижение, легко настигает птицу с более низкими
летными возможностями или недостаточно осмотрительную. Такой вид воздушного
боя получил распространение и в авиации, особенно в условиях "свободной
охоты". Успех боя в большой мере определялся уменьем незаметно подойти к
противнику.
В конце 1914 г. и в начале 1915 г. сложился тип самолета-истребителя с
пулеметом, стреляющим вперед, сначала выше винта, а затем (с изобретением
синхронизатора) -- и через плоскость вращения винта. Истребители появились у
обеих воюющих сторон, и, естественно, возникла необходимость борьбы между
ними. Обеспечение преимущества в воздушном бою явилось важнейшим фактором,
определившим дальнейшее развитие самолетов-истребителей.
В борьбе между истребителями бывают случаи, когда один из них незаметно
подкрадывается к другому и относительно легко добивается победы над ним.
Однако более распространенным был случай, когда противники сходились
примерно в равных исходных условиях и затем вели бой, используя свой личный
летный опыт и возможности своих самолетов.
Расположение оружия для стрельбы вперед (примерно по линии полета)
определяло маневр захода "в хвост" противнику. Аналогично действовал и
противник. Воздушный бой принимал типичную схему кружения, или "карусели".
Подобная карусель является элементом боя, который в действительности может
усложняться и другими движениями, особенно, если противников много, и
превращаться в своеобразную "собачью свалку", при которой фактор организации
и поддержки товарищей играет очень большую роль.
Мы не имеем намерения вникать в тактику сложных воздушных боев.
Совершенствование истребителей определялось элементами воздушного боя, для
успешного ведения которого требовались: преимущество в скорости на стадиях
сближения и ухода, преимущество в маневрировании, наличие хорошего обзора,
мощность вооружения, живучесть конструкции самолета и двигателя.
Впоследствии значительное внимание уделялось бронированию летчика, защите
топливных баков и других жизненно важных агрегатов.
В данной работе поставлена задача -- рассмотреть вопросы, связанные с
маневренностью. Этот комплекс вопросов вовсе не узок; стремление к повышению
маневренности определяет очень многое в конструкции самолета, а также в
выборе двигателя, запаса топлива, вооружения, оборудования и т. п.
Борьба за преимущество в маневренности была ярко выражена в период
первой мировой войны и продолжалась в период между двумя мировыми войнами.
Когда говорили о маневренных свойствах истребителей, то понимали под этим
горизонтальный маневр, т. е. радиус и время совершения круга. К началу
второй мировой войны с ростом скорости полета роль горизонтального маневра
стала падать, а пришедший ему на смену вертикальный маневр поставил перед
конструкторами иные требования, и истребители, маневренные в горизонтальной
плоскости, сошли со сцены. Разделение истребителей на скоростные и
маневренные утратило прежний смысл.
Пройдут столетия, окончательно уйдут в прошлое войны между народами.
При изучении истории войн, может быть, возникнет мысль об аналогии между
воздушным боем самолетов и единоборством богатырей и рыцарей. Для этого,
безусловно, есть основания. В единоборстве богатырей и рыцарей обычно
преследовалась цель не убить противника, а лишить его возможности
дальнейшего сопротивления. Так, рыцарь, сброшенный с коня, был совершенно
беспомощен. В воздушном бою основная задача -- сбить самолет, уничтожить его
как боевую силу. Однако, когда сбивают самолет, может погибнуть и его
экипаж.
В период первой мировой войны вероятность гибели летчика-истребителя
была особенно велика. Во-первых, вес летчика составлял в то время 12-16%
веса самолета; во-вторых, парашютов еще не было. Достаточно было повредить
ответственный силовой элемент или орган управления, чтобы самолет был сбит и
возможность его посадки была исключена. У летчика оставалась единственная
надежда на "удачный" удар о землю, при котором он не будет убит. Если
учесть, что самолеты были довольно легкие, некоторая вероятность остаться
живым при падении с большой высоты была.
Парашюты для опасения летчиков стали применяться только с 1926-- 1928
гг. Истребители периода второй мировой войны имели вес 3000-3500 кГ и доля
веса пилота снизилась до 2-2,5%; кроме того, пилот был прикрыт бронеспинкой
сзади и бронестеклом спереди. В случае необходимости летчик мог, сбросив
крышку фонаря, относительно легко покинуть самолет и спуститься на парашюте.
Вероятность гибели летчика в случае, когда сбивали самолет, стала меньше.
С появлением и развитием реактивных самолетов-истребителей доля веса
летчика снизилась еще больше и дошла до одного процента и даже менее того.
Интересно, что полетный вес одноместных реактивных истребителей 1950-- 1955
гг. стал даже выше, чем вес многоместного тяжелого бомбардировщика "Илья
Муромец" 1914-- 1918 гг. Однако возможности для спасения летчика ухудшились
в связи с трудностью покидания самолета на большой скорости. Тогда были
разработаны катапультные кресла, при помощи которых летчик буквально
выстреливался из самолета. Эти выстреливания подвергают летчика таким
нагрузкам, которые ранее были бы признаны как весьма опасные для жизни. Но,
если условия полета все усложняются -- в связи с ростом высоты и скорости,
-- то средства спасения соответственно совершенствуются.
Для характеристики скорости полета и возможности создания перегрузки
удобно принять кинетическую высоту hк=V2/2g, тогда
аэродинамическое условие создания перегрузки можно представить в виде
Складывая hк с высотой h, получим высоту уровня энергии
hэ=h+hк. Высота полета определяется геометрическими
характеристиками траектории; величина hэ определяется приходом
энергии от двигательной группы и ее расходом на преодоление сил
сопротивления. Важнейшим уравнением полета является характеристика изменения
энергии по пути, т. е. производная уровня энергии по пути:
Подставляя выражение для силы сопротивления Q через подъемную силу,
деленную на аэродинамическое качество, получим
При маневрировании, в зависимости от характеристики энерговооруженности
самолета N/G, его аэродинамического качества на режиме маневра КА
(которое может и не быть максимальным) и от перегрузки, которую летчик
создает, действуя рулем высоты nу, мы можем получить
положительное или отрицательное изменение энергии, т. е. nx будет
положительным или отрицательным. В частном случае есть такой маневр, при
котором nx колеблется около нулевой величины, и этому будет
соответствовать некоторое значение коэффициента перегрузки nya.
Эта величина максимальной перегрузки nyа при условии сохранения
энергии hэ =const является важнейшим фактором, определяющим
маневренные возможности самолета.
Способ определения nya для конкретных значений высоты полета
и веса самолета излагается в курсах динамики полета. Однако для определения
nya есть более простой путь. В статье о тяжелых самолетах мы
приводили выражение для максимальной подъемной силы, которую может развивать
самолет в течение длительного времени, т. е. при постоянстве энергии:
Ymax=Ky(Nl)2/3(r/ro)
1/3
При винте фиксированного шага
Ky~6,8(KA)1/3, при винте изменяемого шага,
дающего увеличение коэффициента полезного действия винта и мощности
двигателя благодаря повышению его числа оборотов,
Ky~7,2(KA)1/3. В итоге получим выражения
для максимального коэффициента перегрузки самолетов выпущенных ранее 1935
г., с винтами фиксированного шага:
Для самолетов более позднего выпуска с винтами изменяемого в полете
шага, обеспечивающими постоянство оборотов двигателя, получим
Поскольку аэродинамическое качество КA входит в формулу под
кубичным корнем, его можно определять довольно грубо.
Полетный вес самолета складывается из веса пустого самолета
G0, в который входят вес конструкции, вес двигательной установки
и вес части оборудования, которое необходимо для полета, независимо от его
назначения. Это оборудование обычно называют несъемным, в отличие от другой
части оборудования, которое включается в нагрузку. В величину G0
входят и веса баков, трубопроводов, электропроводки и т. п., т. е. всего,
что относится к конструкции самолета и не предназначено для легкой съемки.
В вес самолета входит, кроме того, вес топлива GT, который
обычно выражают в виде доли от полного веса GT/G. Третью часть
полетного веса составляет вес нагрузки Gнaгp, в который входят
вес летчика, вес необходимого ему снаряжения, вес парашюта, оружия и
боеприпасов. Вес нагрузки тоже удобно представить в виде доли от полного
веса Gнaгp/G. Теперь выражение для перегрузки можно представить
следующим образом:
Величина перегрузки определяется тремя основными факторами:
1) значением Ку=6,8(Кmax)1/3 или
Ку=7,2(Кmax)1/3 для винта изменяемого шага;
величина Ку связана с аэродинамическим качеством самолета;
2) значением величины
, которая определяет степень нагружения самолета
топливом и полезной нагрузкой; если эта величина мала, то полет будет
кратковременным, а вооружение самолета слабым;
3) значением параметра KG0=
G0/(Nl)2/3, который имеет очень важное значение для
характеристики не только маневренных самолетов, но и самолетов любого
назначения.
Величина
Ky/KG0=ny0=Ymax/G
дает соотношение максимальной подъемной силы и веса пустого самолета. Для
получения самолета с высокими маневренными характеристиками необходимо
уменьшать значение KG0, что может быть достигнуто уменьшением
веса конструкции и применением более легких двигателей. У маневренного
самолета конструкцию нельзя облегчать за счет уменьшения запаса прочности,
хотя в истории самолетостроения и были отдельные примеры, когда маневренные
самолеты были недостаточно прочными. Наиболее легкими являются двигатели
воздушного охлаждения, и маневренные самолеты, как правило, снабжались
такими двигателями.
Относительный вес топлива не может быть очень малым, иначе время полета
окажется незначительным. Если при состязаниях по высшему пилотажу можно
иметь минимальный запас топлива, соответствующий выполняемой программе, то
для самолета-истребителя запас топлива необходим не только для обеспечения
достаточного времени нахождения над полем боя. Полное израсходование топлива
в условиях воздушного боя может оказаться гибельным для летчика, поскольку
самолет становится беспомощным. Запас топлива у маневренных истребителей
лежит в пределах 10-14% взлетного веса.
Увеличение аэродинамического качества хотя и способствует улучшению
маневренности, но в слабой степени. Наконец, маневренность улучшается при
уменьшении относительного веса нагрузки. Поскольку сама нагрузка может быть
уменьшена только за счет уменьшения веса оружия, боеприпасов и оборудования,
необходимых для ведения воздушного боя, то возможности здесь небольшие. Что
касается относительного веса полезной нагрузки, то она будет убывать по мере
увеличения веса самолета, а значит, и мощности двигателя. Поскольку в
истории развития маневренных истребителей происходил неуклонный рост
мощности двигателей и полетных весов, уменьшение относительного веса
полезной нагрузки определяло рост максимальной перегрузки при маневре.
Переход на винты изменяемого шага существенно повысил маневренные
характеристики самолетов, особенно при полете на больших высотах. При винте
фиксированного шага двигатель развивает полную мощность только при полете
самолета на максимальной скорости на расчетной высоте. При уменьшении
скорости и увеличении высоты винт оказывается "тяжел", т. е. число оборотов
его уменьшается и соответственно уменьшается мощность двигателя.
Своеобразный эффект дает применение высотных двигателей. На высотах от
расчетной (где мощность двигателя максимальна) и выше маневренные свойства
самолета значительно повышаются. Однако на малых высотах мощность двигателя
оказывается пониженной (особенно при отсутствии многоскоростной передачи к
нагнетателю) и маневренные свойства самолета ухудшаются.
ОБЗОР ИСТОРИИ РАЗВИТИЯ
МАНЕВРЕННЫХ ИСТРЕБИТЕЛЕЙ 1914-1920 гг.
Выше мы изложили методику анализа маневренных характеристик самолетов.
Ею мы воспользуемся и при обзоре истории развития маневренных самолетов.
Рассмотрим самолеты периода первой мировой войны 1914-- 1919 гг. и периода
между двумя мировыми войнами, т. е. 1919-- 1939 гг. В качестве объектов
рассмотрения возьмем самолеты, которые, по мнению автора, наиболее полно
характеризуют маневренное направление; по этим самолетам имеются достаточно
полные сведения и они имели широкое распространение, т. е. являлись
серийными. Наибольшее внимание будет уделено самолетам, которые применялись
в старой русской армии и в Военно-Воздушных Силах Советской Армии.
В таблицах 1-- 3 приведены характеристики 24-х самолетов; из них 15 --
с двигателями воздушного охлаждения и 9 -- с двигателями водяного
охлаждения. 17 самолетов были на вооружении русской дореволюционной или
советской авиации или же использовались как трофейные.
Эти самолеты автору хорошо знакомы, многие из них он наблюдал в полете,
изучал их конструкцию, участвовал в некоторых испытаниях и т. п.
Маневренные самолеты строили конструкторы, которые считали высокую
маневренность очень важным достоинством самолета-истребителя. Среди них
особенно нужно отметить Николая Николаевича Поликарпова, который проявлял
исключительную заботу об обеспечении маневренности самолетов своей
конструкции. Из числа приведенных в таблицах самолетов, шесть -- его
конструкции, и все они обладали наиболее высокими показателями по
маневренности. Количественные характеристики, приведенные в таблице 1-- 3,
показывают, что именно было достигнуто в отношении маневренности самолетов.
Кроме размеров, площадей и весов, самолет характеризуется
аэродинамической и силовой схемами, материалами и технологией изготовления
деталей, наличием специальных устройств, агрегатов, оборудования,
вооружения, пилотажной и контрольной аппаратуры и др. Важным фактором для
характеристики самолета является схема обзора для летчика.
При разработке новой конструкции ее автор руководствуется некоторым
замыслом, который в ранние годы развития авиации зависел в значительной мере
от интуиции. Впоследствии замысел новой конструкции стал все более
определяться результатами специальных исследований.
В данной работе мы не будем анализировать развитие самолетостроения в
целом и ограничимся лишь рассмотрением развития маневренных истребителей.
Начнем с общих пояснений к материалам, приведенным в таблицах 1-- 3. В
графе 1 по вертикали дана мощность двигателя N на малой высоте; в случае,
если двигатель высотный, в той же графе дана эквивалентная мощность, т. е.
мощность, которую двигатель имел бы у земли, если бы его мощность на больших
высотах экстраполировать на малые высоты по обычному закону зависимости
мощности от высоты.
Таблица 1
Самолеты-истребители 1914-- 1919 гг. с двигателями воздушного
охлаждения
| Самолет | Год, страна | N, л.с. | l, м | S, м2 | G0, кГ | G, кГ | lэ /lэ | (N lэ)2/3 | KG0 | KG | Сх0 | F0, м2 | Kа | Cyн | Ky | Y | ny | Vmax, км/час | Сymax | Vман, м/сек | r, м | t, сек | Примечания | |
| 1 | 2 | 3 | 4 | 5 | 6 | 7 | 8 | 9 | 10 | 11 | 12 | 13 | 14 | 15 | 16 | 17 | 18 | 19 | 20 | 21 | 22 | |||
| 1 | "Моран-Ж", моноплан | 1913 г., Франция | 80 | 9,2 | 15,2 | 350 | 500 | 9/5,3 | 80 | 4,4 | 6,25 | 0,085 | 1,0 | 6,8 | 1,15 | 12,8 | 1000 | 2,0 | 130 | 1,2 | 30 | 50 | 11 | Был на вооружении русской авиации в 1914 -- 1915 гг., строился в России |
| 2 | "Фоккер E-II", моноплан | 1916 г., Германия | 100 | 10,2 | 17 | 400 | 610 | 10/5,8 | 100 | 4,0 | 6,1 | 0,085 | 1,10 | 7,0 | 1,20 | 13,0 | 1300 | 2,15 | 140 | 1,1 | 33 | 60 | 11 | Был на вооружении в Германии в 1916 г. |
| 3 | "Ньюпор-11", полутороплан | 1915 г., Франция | 80 | 7,3 | 13,3 | 320 | 480 | 7,7/5,7 | 72 | 4,4 | 6,67 | 0,080 | 0,78 | 6,4 | 1,00 | 12,6 | 910 | 1,9 | 150 | 1,1 | 31 | 62 | 12 | Был на вооружении в России в 1915-- 1916 гг. |
| 4 | "Ньюпор-17", полутороплан | 1916 г., Франция | 110 | 8,15 | 15 | 370 | 550 | 8,6/5,7 | 98 | 3,8 | 5,6 | 0,065 | 0,76 | 7,7 | 1,00 | 13,4 | 1320 | 2,4 | 168 | 1,1 | 36 | 60 | 11 | Был на вооружении в России и строился в 1916-- 1920 гг. |
| 5 | Сопвнч "Кемел", биплан | 1917 г., Aнглия | 130 | 8,55 | 23 | 420 | 650 | 9,5/4,1 | 114 | 3,7 | 5,7 | 0,040 | 0,72 | 8,8 | 0,70 | 14,0 | 1600 | 2,45 | 180 | 1,0 | 33 | 52 | 10 | -- |
| 6 | Сопвич, триплан | 1917 г., Англия | 130 | 8,2 | 25 | 400 | 640 | 9,5/4,0 | 114 | 3,5 | 5,6 | 0,035 | 0,70 | 8,8 | 0,60 | 14,0 | 1600 | 2,5 | 180 | 1,0 | 32 | 48 | 9,5 | Несколько образцов были использованы в России для тренировок в 1918 -- 1919 гг. |
| 7 | "Фоккер DR-1", триплан | 1917 г., Германия | 110 | 7,2 | 20 | 375 | 570 | 8,0/3,2 | 86 | 4,3 | 6,62 | 0,045 | 0,60 | 7,5 | 0,68 | 13,3 | 1140 | 2,0 | 175 | 1,3 | 26 | 42 | 10 | -- |
| 8 | Сопвпч "Снайп", биплан | 1918 г., Англия | 230 | 9,45 | 25 | 600 | 915 | 10,3/4,2 | 178 | 3,35 | 5,15 | 0,038 | 0,96 | 9,3 | 0,70 | 14,3 | 2500 | 2,7 | 200 | 1,0 | 40 | 66 | 10,5 | Трофейные образцы использовались в советской авиации в 1919-- 1923 гг. |
| Самолет | Год, страна | N, л.с. | l, м | S, м2 | G0, кГ | G, кГ | lэ /lэ | (N lэ)2/3 | KG0 | KG | Сх0 | F0,м2 | Kа | Cyн | Ky | Y | ny | Vmax, км/час | Сymax | Vман, м/сек | r, м | t, сек | Примечания | |
| 1 | 2 | 3 | 4 | 5 | 6 | 7 | 8 | 9 | 10 | 11 | 12 | 13 | 14 | 15 | 16 | 17 | 18 | 19 | 20 | 21 | 22 | |||
| 9 | "Спад-VII", биплан | 1916 г., Франция | 130 | 7,8 | 18 | 545 | 770 | 8,5/4,0 | 117 | 4,6 | 6,6 | 0,06 | 0,80 | 7,5 | 0,9 | 13,3 | 1560 | 2,0 | 180 | 1,0 | 37 | 82 | 14,0 | Строился в России в 1917-- 1920 гг. |
| 10 | "Альбатрос D-V", полутороплан | 1917 г., Германия | 160 | 9,0 | 21 | 680 | 910 | 9,8/4,5 | 135 | 5,0 | 6,75 | 0,06 | 0,95 | 7,9 | 0,9 | 13,5 | 1820 | 2,0 | 175 | 1,1 | 36 | 75 | 13,5 | Основной истребитель Германии в 1917-- 1918 гг. |
| 11 | SE-5, биплан | 1918 г., Англия | 200 | 8,15 | 24 | 655 | 885 | 9,0/3,35 | 148 | 3,7 | 6,0 | 0,045 | 0,85 | 7,7 | 0,7 | 13,4 | 2000 | 2,3 | 200 | 1,0 | 36 | 67 | 11,5 | Основной истребитель Англии в 1918-1919 гг. |
| 12 | "Фоккер D-VII", биплан | 1918 г., Германия | 220 | 9,0 | 22 | 700 | 900 | 10,0/4,5 | 170 | 4,1 | 5,3 | 0,05 | 0,85 | 8,5 | 0,85 | 13,8 | 2350 | 2,6 | 200 | 1,4 | 35 | 58 | 10,0 | Был на вооружении Советской авиации в 1922 -- 1926 гг. |
| 13 | "Мартинсайд F-4", биплан | 1919 г., Англия | 300 | 9,8 | 28 | 820 | 1090 | 10,7/4,1 | 218 | 3,8 | 5,0 | 0,05 | 1,05 | 8,1 | 0,8 | 13,6 | 2970 | 2,75 | 210 | 1,0 | 41 | 68 | 10,5 | Был на вооружении советской авиации в 1922 -- 1927 гг. |
где
l -- размах большего крыла;
l1 -- размах меньшего крыла;
h -- расстояние между крыльями;
эффективное удлинение крыла определялось по формуле lэ=
lэ2/S.
В графе 7 приведена характеристика, входящая в формулу для подъемной
силы, в графе 8 -- характеристика веса пустого самолета и в графе 9 -- то же
для взлетного веса; в графе 10 приведен коэффициент лобового сопротивления
Сх0 при Су=0, полученный, как это было описано, по расчету для
известной максимальной скорости.
В графе 11 дана эквивалентная вредная площадь F0 для
самолета: F0= Сх0S/1,28, в графе 12 -- максимальное
аэродинамическое качество Ка, в графе 13 -- коэффициент подъемной
силы Сун, соответствующий максимальному качеству, и в графе 14 --
величина Ку, равная 6,8(Ка)1/2 --
7,2(Ка)1/2.
В графе 15 дана максимальная подъемная сила Y при полете на малой
высоте, а в случае высотного двигателя дано еще значение Yа
соответствующее эквивалентной мощности высотного двигателя (см. табл. 3).
Таблица 3
Самолеты-истребители 1923 -- 1938 гг.
| Самолет | Год, страна | N, л.с. | l, м | S, м2 | G0, кГ | G, кГ | lэ /lэ | (Nlэ)2/3 | KG0 | KG | Сх0 | F0, м2 | Kа | Cyн | Ky | Y | ny | Vmax, км/час | Сymax | Vман, м/сек | r, м | t, сек | Примечания | |
| 1 | 2 | 3 | 4 | 5 | 6 | 7 | 8 | 9 | 10 | 11 | 12 | 13 | 14 | 15 | 16 | 17 | 18 | 19 | 20 | 21 | 22 | |||
| С двигателями воздушного охлаждения | ||||||||||||||||||||||||
| 14 | Глостер "Гемкок", биплан | 1925 г., Англия | 420 | 9,1 | 27,0 | 880 | 1250 | 10/3,7 | 260 | 3,3 | 4,8 | 0,042 | 0,9 | 8,3 | 0,70 | 14 | 3000/- | 2,85/- | 250 | 1,0 | 46 | 80 | 10,5 | -- |
| 15 | "И-4", полутороплан | 1927 г., СССР | 420 | 11,4 | 24,0 | 920 | 1360 | 11,4/5,4 | 285 | 3,25 | 4,75 | 0,045 | 0,8 | 9,6 | 0,85 | 14,5 | 4150/- | 3,0/- | 260 | 1,2 | 48 | 82 | 10,5 | Первый советский металлический истребитель |
| 16 | "И-5", биплан | 1930 г., СССР | 480 | 9,6 | 21,0 | 900 | 1300 | 10,4/5,1 | 290 | 3,1 | 4,48 | 0,042 | 0,7 | 9,7 | 0,80 | 14 | 4000/- | 3.3/- | 280 | 1,35 | 50 | 80 | 10 | Состоял на вооружении ВВС СССР |
| 17 | "И-15", биплан | 1934 г., СССР | 720/1000 | 9,7 | 22,0 | 1170 | 1570 | 10,3/4,8 | 380 | 3,0 | 4,12 | 0,041 | 0,7 | 9,7 | 0,78 | 14,5 | 5600/6900 | 3,5/4,4 | 320 | 1,35 | 55 | 92 | 10 | То же |
| 18 | "И-16", моноплан | 1934 г., СССР | 750/1070 | 9,0 | 14,5 | 1300 | 1680 | 9,0/5,6 | 360 | 3,6 | 4,7 | 0,035 | 0,4 | 11,0 | 0,70 | 15 | 5300/6800 | 3,15/4,0 | 400 | 1,3 | 67 | 155 | 15 | " |
| 19 | "И-16", моноплан | 1938 г., СССР | 920/1500 | 9,0 | 14,5 | 1450 | 1830 | 9,0/5,6 | 410 | 3,5 | 4,45 | 0,035 | 0,4 | 11,0 | 0,70 | 15 | 6500/8800 | 3,5/4,7 | 420 | 1,3 | 74 | 170 | 14,5 | " |
| 20 | "И-153", биплан | 1938 г., СССР | 920/1500 | 10,0 | 22,0 | 1440 | 1850 | 10,5/5,0 | 450 | 3,15 | 4,1 | 0,030 | 0,52 | 11,0 | 0,70 | 15 | 7300/10000 | 4,0/5,3 | 385 | 1,35 | 62 | 105 | 10 | " |
| С двигателями жидкостного охлаждения | ||||||||||||||||||||||||
| 21 | "Фоккер D-11", полутороплан | 1924 г., Голландия | 300 | 11,4 | 21,5 | 920 | 1320 | 11,4/6,0 | 230 | 4,1 | 5,7 | 0,056 | 0,95 | 9,2 | 1,00 | 14 | 3200/- | 2,5/- | 220 | 1,4 | 41 | 75 | 11,5 | Состоял на вооружении ВВС СССР в 1925-1930 гг. |
| 22 | "И-3", биплан | 1928 г., СССР | 500/600 | 11,0 | 27,0 | 1420 | 1660 | 11,8/5,1 | 320 | 4,3 | 5,2 | 0,042 | 0,9 | 9,6 | 0,80 | 14,5 | 4700/- | 2,8/3,2 | 280 | 0,35 | 46 | 83 | 11,5 | То же |
| 23 | Хаукер "Фьюри", биплан | 1934 г., Англия | 600/880 | 9,2 | 24,5 | 1230 | 1640 | 10,0/4,1 | 330 | 3,7 | 5,0 | 0,040 | 0,75 | 9,0 | 0,70 | 14 | 4700/6000 | 2,8/3,6 | 300 | 1,2 | 50 | 95 | 12 | -- |
| 24 | "Як-1М", моноплан | 1941 г., СССР | 1200/2000 | 9,2 | 14,8 | 2100 | 2650 | 9,2/5,7 | 490 | 4,2 | 5,4 | 0,022 | 0,25 | 13,0 | 0,60 | 17 | 8300/11500 | 3,1/4,3 | 570 | 1,0 | 95 | 320 | 21 | Состоял на вооружении ВВС СССР |
в графе 20 -- радиус виража r, определяемый по формуле
в графе 21 - время совершения круга при вираже
Первым истребителем и первым маневренным истребителем следует считать
французский самолет "Моран-Ж". На этом самолете знаменитый русский летчик П.
Н. Нестеров выполнил первый таран в воздушном бою; на нем впервые
устанавливались пулеметы для стрельбы через плоскость вращения винта. Однако
самолет "Моран-Ж" как истребитель не получил распространения. Причиной этого
была его относительно небольшая скорость -- 130 км/час; перегрузка при
маневре на этом самолете на малой высоте была равна приблизительно 2, а на
высоте 2000 м лишь около 1,5; наконец, условия обзора для летчика были
плохими.
Подробные характеристики этого самолета были даны в статье "На чем
летал П. Н. Нестеров". Как истребитель более успешным был самолет "Фоккер
Е-II", построенный в Германии и являвшийся в сущности модификацией самолета
"Моран-Ж" (рис. 2, а). В самолет были внесены некоторые улучшения: была
повышена мощность двигателя до 100 л. с., а затем и до 160 л. с.; крыло было
несколько опущено и благодаря этому улучшен обзор для летчика; коэффициент
перегрузки повысился, и самолет отличался хорошей маневренностью. Однако и
самолет "Фоккер Е-II" не долго состоял на вооружении. Следует упомянуть, что
самолет "Моран" имел модификацию с более мощным двигателем и улучшенной
аэродинамикой, но и эта модификация применялась мало.
Еще до войны 1914 г. проводились состязания в полетах на скорость на
гидросамолетах. В 1914 г. на этих состязаниях победу одержал маленький
самолет-биплан английской фирмы Сопвич; при том же двигателе, который был
установлен на самолете "Моран-Ж", -- мощностью 80 л. с., -- он развил
скорость на 20 км/час больше, несмотря на свои громоздкие поплавки. У
самолета "Моран-Ж" источником большого сопротивления являлись тросовые
растяжки, идущие к крыльям; общая протяженность растяжек была равна около 44
м и площадь сопротивления составляла около 0,3 м2.

Рис. 2 Вид сбоку типичных истребителей времен первой мировой войны:
а -- "Фоккер Е II", б -- "Ньюпор-17", в -- Сопвич "Кемел"; г -- Сопвич,
триплан
У маленького биплана фирмы Сопвич общая длина растяжек оказалась вдвое
меньше, сами растяжки были тоньше, и экономия в сопротивлении составила
около 20-25%. Начиная с этого времени, т. е. с 1914 г., маленький биплан
стал классической схемой маневренного истребителя, которая просуществовала
около 20 лет и даже в настоящее время частично сохранилась для
акробатических самолетов. Благодаря уменьшению сопротивления у бипланов их
максимальная скорость оказалась выше примерно на 10%, а после улучшения
носовой части фюзеляжа и перехода на ленточные растяжки -- на 20%, при той
же мощности двигателя. Только с развитием моноплана с крылом без растяжек и
с убирающимся шасси преимущество малыми бипланами было утрачено.
Переход на бипланы позволил несколько уменьшить размах крыльев -- с
9-10 м до 7,5-8,5 м. Каждое крыло стало значительно уже, и это улучшило
обзор; с уменьшением размаха повысилась угловая скорость накренения --
благодаря уменьшению аэродинамического демпфирующего момента крыльев.
Маленькие бипланы оказались очень подвижными, их преимущества как
истребителей были совершенно явными.
В 1915 г. во Франции выпускаются одноместные истребители-полуторопланы
"Ньюпор-10" и "Ньюпор-11"; они поступили и в русскую армию и строились затем
в России -- в основном на заводе "Дукс" в Москве. За его миниатюрные размеры
и легкость самолет "Ньюпор-11" называли "Бебе".
В дальнейшем в России и после Октябрьской революции еще оставались
самолеты "Ньюпор-17", -21, -23, -24 и -24 бис; они отличались друг от друга
сравнительно немного. Самолет "Ньюпор-17" имел двигатель мощностью 110 л. с.
и размеры его были немногим больше, чем у самолета "Ньюпор-11"; "Ньюпор-23"
имел двигатель мощностью 120 л. с.; самолет "24 бис" отличался от самолета
"23" тем, что у него было несколько скруглено сечение фюзеляжа.
Обращаясь к схеме самолетов "Ньюпор" (см. рис. 2, б), прежде всего
следует отметить прекрасный обзор для летчика: верхнее крыло -- более
широкое, находится почти на уровне глаз; нижнее крыло имеет ширину лишь 0,7
м и расположено прямо снизу, мало закрывая землю. Типична стойка в форме
буквы "V".
В русской авиации времен первой мировой войны самолет "Ньюпор" был
основным истребителем; таковым он оставался и в период гражданской войны. На
этом самолете летчики прекрасно выполняли высший пилотаж и успешно вели
воздушные бои; конструкция его была проста -- в основном дерево, полотно и
тросовые растяжки; металлическими были только шасси и каркас оперения из
тонких труб.
Однако у самолета "Ньюпор" были и серьезные недостатки. Это, прежде
всего, малый запас прочности и низкая жесткость, которая была обусловлена
схемой с узким однолонжеронным нижним крылом. Такая схема слабо
противостояла крутящим моментам. На самолетах "Ньюпор", особенно когда они
поизносились, было много случаев поломки в воздухе.
Другим большим недостатком самолета был его резкий срыв в штопор. Из
табл. 1 видно, что при полете самолета "Ньюпор" на максимальном качестве
Сун=l,0, а Суmах был у него не выше 1,3. При полете с
максимальной подъемной силой на маневре самолет был очень близок к срыву и
при появлении срыва сразу начинал быстро вращаться в штопоре. Если при этом
был запас высоты, то из штопора можно было быстро выйти. Однако были часты
сваливания в штопор на взлете, если летчик начинал круто набирать высоту с
недостаточной скоростью или если вдруг падала тяга винта. Много летчиков
погибло или было тяжело ранено при сваливаниях самолета в штопор на малой
высоте. "Вертлявость" самолета, особенно на больших углах атаки,
использовалась опытными летчиками для эффектного пилотажа и в воздушном бою.
К 1918 г. фирма "Ньюпор" отказалась от полуторопланов и перешла на "чистые"
бипланы с равными по площади крыльями.
Бипланы с равными по площади крыльями широко применялись на английских
истребителях периода первой мировой войны. В 1917 г. английской фирмой
Сопвич был выпущен один из лучших истребителей того времени "Кемел"
("Верблюд") с ротативным двигателем мощностью 130 л. с. (рис. 2, в).
Характеристики этого самолета приведены в табл. 1; как видно, у самолета
"Кемел" при маневре на малой высоте перегрузка nу доходила почти
до 2,5 и время виража составляло около 10 сек. Высота потолка у самолета
"Кемел" достигала 7 км. Следует указать, что высота потолка является
косвенным свидетельством высокой маневренности. При полете на потолке
максимальная подъемная сила равна весу и nу=1; по мере уменьшения
высоты значение nу будет расти соответственно росту величины
Y/Yн.
На рис. 3 показано относительное изменение величины Y/Y0 с
высотой: эта зависимость подсчитана по формуле
Изменение мощности двигателей с высотой зависит от изменения числа
оборотов, от изменения атмосферного давления и температуры и от величины
механических потерь в двигателе. При винте фиксированного шага с поднятием
на высоту число оборотов двигателя понижается и это приводит к
дополнительному уменьшению мощности. У ротативных двигателей механические
потери выше и поэтому с поднятием на высоту мощность убывает более
значительно.
На рис. 3 даны три кривые, для которых были подобраны следующие
формулы:
1) для ротативного двигателя с винтом фиксированного шага
2) для обычного поршневого двигателя с винтом фиксированного шага
3) для обычного поршневого двигателя с винтом изменяемого шага,
сохраняющего постоянную скорость вращения независимо от высоты и скорости
полета,
Рис. 3. График изменения подъемной силы с высотой:
1 -- самолет с ротативным двигателем и винтом фиксированного шага; 2 --
самолет с обычным поршневым двигателем и винтом фиксированного шага; 3 --
самолет с обычным поршневым двигателем и винтом изменяемого шага с
постоянной скоростью вращения
Важным достоинством бипланов с равными по площади крыльями было
относительно малое значение Сун и при полете на максимальном
качестве у них оставался еще большой запас угла атаки до срыва обтекания.
В 1917 г. фирма Сопвич выпустила истребитель-триплан, т. е. довольно
необычной схемы, которая, хотя и применялась ранее, но успеха не давала (см.
рис. 2, г). Как видно из табл. 1, самолет Сопвич, триплан, имел почти такие
же характеристики по размаху и площади, что и биплан "Кемел"; летные
характеристики его тоже почти такие же. Некоторое число трипланов Сопвич
попало в Россию и затем в ВВС Советской Армии, где они использовались в
основном для тренировок в школах.
Пример с трипланом Сопвич наглядно показывал, что дело не в схеме
самолета, а в том, чтобы иметь достаточно большой эффективный размах крыльев
и не очень большую величину Сун.
Грубую ошибку делали некоторые конструкторы, которые пытались применить
трипланную схему, уменьшая размах крыльев. Недостатком триплана Сопвич был,
видимо, худший обзор для летчика и недостаточная жесткость высокой схемы из
трех крыльев. Этот самолет был одним из немногих удачных трипланов.
Самолетов "Кемел" в России не было, если не считать единичных
экземпляров и трофеев гражданской войны. В 1917 г. в Россию было прислано из
Англии некоторое количество самолетов "Виккерс F.В-19". Они в общем
напоминали самолеты "Кемел", но имели меньший размах крыльев -- всего лишь
7,35 м -- и относительно широкие крылья без выноса верхнего крыла вперед,
столь типичного для фюзеляжных бипланов. На малых высотах и без вооружения
самолет фирмы Виккерс был очень маневренным. Как боевой самолет он оказался
неудачным вследствие того, что у него был плохой обзор для летчика, который
находился под крылом в очень широком фюзеляже.
Таким образом, для повышения маневренности самолетов изыскания в
области их аэродинамических схем не дали большого эффекта. Более
существенными факторами были конструктивная целесообразность и обеспечение
обзора для летчика. Лучшей схемой оказалась бипланная, с выносом верхнего
крыла вперед; впоследствии было выяснено, что нижнее крыло целесообразно
немного уменьшать.
Однако решающим фактором было повышение мощности двигателей воздушного
охлаждения. Если в начале первой мировой войны применялись мощности порядка
80 л. с., а в середине ее -- мощности порядка 120-130 л.с., то к концу войны
появились маневренные истребители с ротативными двигателями мощностью
220-230 л. с. Соответственно, если в начале войны маневренные перегрузки
были около 2, в середине ее -- 2,4-2,5, то к концу войны они достигали
значений 2,7-2,8.
Среди последних типов самолетов-бипланов в Советском Союзе было
несколько трофейных экземпляров английского истребителя Сопвич "Снайп". У
этого самолета (кроме того, что на нем был установлен более мощный
двигатель) был увеличен размах крыльев, а бипланная коробка была снабжена
двумя парами стоек, что увеличивало сопротивление, но в то же время
позволяло несколько уменьшить вес конструкции. Малый вес конструкции этого
самолета характеризуется очень низким значением KG0 (K
G0=3,35) -- наиболее низким среди всех самолетов времен первой мировой
войны.
В Германии после уже описанного моноплана фирмы Фоккер появились
маневренные истребители-бипланы, а в 1917 г. был построен и получил широкое
применение самолет-триплан этой фирмы. Это был сравнительно небольшой
самолет, что конечно привело к уменьшению его подъемной силы, которая была
равна около 1150 кГ вместо 1600 кГ у триплана фирмы Сопвич, однако и вес
триплана фирмы Фоккер был меньше. По расчету (см. табл. 1) перегрузка при
маневре у триплана "Фоккер DR-1" была сравнительно невелика (nу =
2). Малый размах крыльев приводил к увеличению скорости накренения.
Однако основное достоинство триплана "Фоккер DR-1" заключалось в
следующем. Это был, видимо, первый самолет со свободнонесущими крыльями,
хотя и трипланной схемы. Крылья были соединены стойкой, но растяжки
отсутствовали и профиль крыла был достаточно толстым. У самолетов фирмы
Сопвич крылья имели тонкий профиль с малой кривизной и поэтому значение Су
при маневре едва ли могло превышать единицу. У триплана "Фоккер DR-1"
значение Су при маневре было не менее 1,3-1,4, и в результате радиус виража
у него был меньше, чем у какого-либо другого истребителя того времени.
Для сравнения рассмотрим характеристики истребителей с двигателями
жидкостного охлаждения, которые, как правило, были более быстроходными, но
менее маневренными, чем истребители с двигателями воздушного охлаждения.
Наиболее типичными из них были французские истребители "Спад" модели
VII и XIII. Этот самолет представлял собой небольшой биплан, нижнее крыло
которого было немного меньше верхнего. Наиболее примечательным свойством
этого самолета являлась компактность расположения грузов -- двигателя,
топлива, оружия и летчика. Стремление к компактности расположения грузов с
целью уменьшения момента инерции проявлялось у конструкторов многих
самолетов того времени. Только значительно позднее, после развития теории
динамики вращательных движений, выяснилось, что уменьшение моментов инерции
не имеет большого значения. Несмотря на то, что самолет имел небольшой
размах крыльев, крылья у него были соединены с каждой стороны двумя парами
стоек. Это было сделано для обеспечения большей жесткости тонких крыльев в
условиях длительного пикирования.
Самолет "Спад-VII" с двигателем Испано-Суиза мощностью 150 л. с.
строился в России в 1917-- 1918 гг., однако построено их было немного -- в
основном из-за недостатка двигателей. Его маневренные характеристики были
значительно хуже, чем у самолетов "Ньюпор", но скорость была выше, чем у
них, особенно при крутом снижении.
Самолет "Спад-XIII", на котором был установлен тот же двигатель, но
повышенной мощности, был наиболее быстроходным истребителем в период 1917--
1918 гг. На этом самолете был впервые применен "двигатель-пушка", т. е.
пушка у него была прикреплена к двигателю и стреляла через полый вал
редуктора, на котором был установлен винт. Эта схема вооружения широко
использовалась во время второй мировой войны.
Автор много раз наблюдал полеты самолета "Спад-VII", но никогда не
видел, чтобы на этом самолете выполнялся сложный пилотаж. В Германии и в
Англии в период 1917-- 1918 гг. строился целый ряд истребителей с
двигателями водяного охлаждения; среди них наиболее известен немецкий
самолет "Альбатрос D-V" с двигателем мощностью 160 л. с. и английский
самолет "SE-5" с двигателем мощностью 200 л. с.
В 1918 г. в Германии поступил на вооружение очень интересный
самолет-истребитель, биплан "Фоккер D-VII". Его особенностью были
свободнонесущие крылья толстого профиля с большой кривизной средней линии.
Крылья соединялись стойками, что придавало конструкции большую жесткость на
кручение, так как естественная жесткость крыльев на кручение при полотняной
обтяжке была недостаточна. На самолете был установлен двигатель БМВ водяного
охлаждения мощностью 185-220 л. с. Самой главной особенностью самолета было
применение профиля крыла с очень высокой несущей способностью. На рис. 4
дано сравнение зависимостей Су по a для английского профиля "RAF-15" и
профиля крыла самолета "Фоккер D-VII". Как видно, у последнего срыв не
только происходит на больших углах атаки, но и протекает более плавно.
Особенности профиля крыла самолета "Фоккер D-VII" очень убедительно
проявлялись в практике полетов. Неожиданные явления потери управляемости и
сваливания на крыло, характерные для английских и французских истребителей
того времени, не имели места у самолета "Фоккер D-VII". Это не только
снизило аварийность, но и позволяло при маневрировании спокойно доводить
самолет до больших значений Су, уменьшая тем самым радиус виража.
После окончания первой мировой войны фирма "Фоккер" стала строить свои
самолеты в Голландии. В 1922 г. Советский Союз закупил у нее партию
самолетов "Фоккер D-VII", которыми были вооружены несколько авиационных
отрядов. В эксплуатации самолеты показали себя с хорошей стороны.
Рис. 4. Сравнительные графики коэффициентов подъемной силы тонкого
профиля RAF-15 и толстого профиля крыла самолета "Фоккер D-VII"
В конце первой мировой войны в Германии фирмой Юнкере был построен
истребитель-моноплан со свободнонесущим крылом металлической конструкции.
Крыло было расположено в нижней части фюзеляжа и поэтому обзор для летчика
был несравненно лучше, чем у самолета "Моран". Этот самолет по своей схеме
послужил прообразом более поздних типов истребителей и во многом определил
дальнейшее направление их развития, которое стало доминирующим в 1934-- 1935
гг.
Заканчивая рассмотрение развития маневренных истребителей в период
первой мировой войны, отметим, что в России -- на Русско-балтийском заводе и
некоторыми конструкторами в других местах -- разрабатывались истребители
различных типов, однако они не поступали на вооружение.
Следует остановиться на истребителе С-20, сконструированном под
руководством известного конструктора И. И. Сикорского. Он представлял собой
нечто среднее между самолетами "Ньюпор" и "Кемел", а именно, нижнее крыло у
него было более узким, но имело два лонжерона, что обеспечивало достаточную
жесткость конструкции. Этот самолет, вероятно, не уступал по характеристикам
лучшим истребителям того времени.
Конструктором и владельцем небольшого заводика в Москве итальянцем Ф.
Э. Моска был разработан истребитель "Моска бис" с двигателем "Рон" мощностью
80 л. с. Это был моноплан, его крыло было несколько приподнято над фюзеляжем
и разрезано так, что летчик мог смотреть поверх крыла и под крыло. Самолет
"Моска бис" был построен небольшой серией, но на фронт не поступил,
поскольку он не мог конкурировать с истребителями противника. В 1920-- 1921
гг. самолеты "Моска бис" использовались в Московской авиационной школе.
Крыло небольшого размаха, да еще с вырезами в центре, очень ухудшало его
аэродинамическое качество, и самолетом было сложно управлять при посадке.
Как видно из изложенного, период 1915-- 1920 гг. характерен применением
самолетов разнообразных аэродинамических схем. Кроме описанных выше, были и
еще более необычные схемы, которые, однако, оказались нецелесообразными.
Так, встречались схемы четырехпланные, трипланы с различным расположением
крыльев, бипланы, у которых верхнее крыло имело большой вырез для улучшения
обзора или даже было совсем разрезано на две части. Подобные вырезы, и тем
более разрезы, приводили к значительному ухудшению аэродинамического
качества и тем самым к снижению максимальной подъемной силы.
РАЗВИТИЕ МАНЕВРЕННЫХ ИСТРЕБИТЕЛЕЙ В
ПЕРИОД 1920-- 1932 гг.
После окончания первой мировой войны в развитии маневренных
истребителей наступила некоторая пауза. Это объясняется тем, что ротативные
двигатели не имели перспектив развития по мощности, их надежность была
низка, а расходы топлива и особенно масла были велики. После того, как были
выпущены английские ротативные двигатели "В. R" мощностью 220 л. с.,
конструирование ротативных двигателей было прекращено. Двигатели водяного
охлаждения продолжали развиваться по мощности без существенного увеличения
габаритных размеров. Так, появились двигатели Испано-Суиза мощностью 300 л.
с., американский двигатель "Либерти" мощностью 400 л. с. и ряд других.
В 1919 г. в Англии был выпущен истребитель "Мартинсайд F-4" с
двигателем Испано-Суиза мощностью 300 л. с.; характеристики этого самолета
приведены в табл. 2. Как видно, по своим маневренным характеристикам он не
уступал лучшим маневренным истребителям конца первой мировой войны. Партия
самолетов Мартинсайд была закуплена Советским Союзом в 1922 г. и ими было
вооружено несколько авиационных отрядов. Самолет был прост в пилотировании,
маневрен, но для своего времени недостаточно быстроходен.
К 1924-- 1925 гг. появились двигатели воздушного охлаждения мощностью
около 400 л. с. с звездообразным расположением цилиндров, но уже не
ротативные. Они были значительно легче двигателей водяного охлаждения, хотя
лобовое сопротивление ребристых цилиндров было велико. Типичным
представителем подобных двигателей был английский двигатель "Юпитер" фирмы
Бристоль. Это направление развития авиационных двигателей оказалось очень
плодотворным и его придерживались многие фирмы вплоть до 1944-- 1945 гг.,
когда на смену поршневым пришли реактивные двигатели. Звездообразные
двигатели воздушного охлаждения находятся в эксплуатации на транспортных и
спортивных самолетах и вертолетах и в настоящее время.
Двигатель английской фирмы, естественно, был установлен вначале на
английском самолете. В табл. 3 приведены характеристики самолета "Гемкок"
фирмы Глостер. Это был обычный биплан, подобный тем, которые строились в
период первой мировой войны, но на нем был установлен двигатель мощностью
420 л. с. Коэффициент перегрузки при маневре достигал у него величины 2,85.
Советские конструкторы Н. Н. Поликарпов и Д. П. Григорович, которые
начали развертывать свою работу в 1920-- 1921 гг., могли ориентироваться
только на двигатель М-5 (т. е. "Либерти"), который не был предназначен для
истребителей. Тем не менее, в 1923 г. Н. Н. Поликарпов выпускает свой первый
истребитель моноплан "И. Л.", подобный самолету "Юнкере", но, в отличие от
него, деревянной конструкции, поскольку отечественного дуралюмина в то время
еще не было. Несколько позже Д. П. Григорович выпускает истребитель-биплан
"И-2" с тем же двигателем М-5; этот самолет строился серийно и был на
вооружении некоторых авиаотрядов. Затем самолет "И-2" был несколько улучшен
и стал называться "И-2 бис". Самолет "И. Л." Н. Н. Поликарпова был построен
в нескольких экземплярах, но затем возникли трудности с выводом его из
штопора; тогда Н. Н. Поликарпов на некоторое время вернулся к бипланам.
Основным назначением истребителя является борьба с разведчиками и
бомбардировщиками противника. Преимущество в скорости над этими самолетами
для истребителей является совершенно необходимым. Поэтому конструкторы
истребителей не могли чрезмерно увлекаться улучшением их маневренных
свойств.
В 1926 г. автор несколько месяцев работал в конструкторском бюро Н. Н.
Поликарпова, где занимался вопросами аэродинамики. Н. Н. Поликарпов уделял
большое внимание вопросам маневренности, однако, в то время он поставил
перед собой основную задачу -- повысить скорость, и приступил к
проектированию истребителя, который был выпущен в 1928 г. под маркой "И-3".
Это был биплан с уменьшенным нижним крылом, с двигателем водяного охлаждения
БМВ-6 мощностью около 500 л. с. Этот самолет имел очень хорошие
аэродинамические формы; его максимальная скорость достигала 280 км/час, а
коэффициент перегрузки при маневре был довольно высок и составлял около 2,8.
Конструкторское бюро А. Н. Туполева к 1926 г. создало уже несколько
удачных самолетов металлической конструкции -- разведчик "Р-3" ("АНТ-3") и
двухмоторный бомбардировщик "ТБ-1" ("АНТ-4") -- и решило попробовать свои
силы в создании истребителя. В 1927 г. был выпущен истребитель "И-4"
("АНТ-5") металлической конструкции, который следует именовать монопланом,
так как нижнее крыло у него было очень небольшим, а впоследствии вообще было
снято. На этом самолете был установлен двигатель воздушного охлаждения
мощностью 420 л. с., и это позволило ему сочетать скорость 260 км/час с
маневренной перегрузкой, равной 3,0, -- наиболее высокой к тому времени.
Самолет "И-4" являлся очень маневренной и прочной машиной; он состоял
на вооружении советской авиации, однако, недостаточное производство
дуралюмина в то время ограничило производство самолетов. Тогда группе
конструкторов, в которую входили Н. Н. Поликарпов, Д. П. Григорович, Б. Ф.
Гончаров и другие, было поручено сконструировать еще более маневренный
самолет, но деревянной конструкции, с звездообразным двигателем воздушного
охлаждения мощностью 480 л. с. Эта задача была быстро и успешно выполнена, и
в 1930 г. появился самолет "И-5", который в течение ряда лет являлся
наиболее маневренным самолетом и пользовался любовью летчиков.
Как видно из табл. 3, коэффициент перегрузки при маневре ny
у самолета "И-5" достигал значения 3,3, а характеристика веса конструкции
была наименьшей из тех значений, которые встречались в то время в
самолетостроении: КG0=3,1, или, иначе говоря, вес пустого
самолета составлял только 21% от величины максимальной подъемной силы.
Самолет "И-5" успешно демонстрировал свое превосходство в сравнительных
"воздушных боях" с образцами лучших зарубежных истребителей.
РАЗВИТИЕ МАНЕВРЕННЫХ
ИСТРЕБИТЕЛЕЙ В ПЕРИОД 1932-- 1940 гг.
В начале тридцатых годов в самолетостроении начался поворот к
всемерному повышению скоростных и высотных характеристик. Основными
средствами увеличения скорости были уменьшение величины вредной площади
F0 и повышение отношения мощности двигателей к относительной
плотности воздуха. Уменьшение величины вредной площади достигалось
совместным использованием ряда мероприятий, каждое из которых, взятое в
отдельности, казалось бы, давало сравнительно небольшой эффект. Так, если
взять самолет грубой аэродинамической схемы, например, истребитель-биплан,
имеющий F0, равную около 0,8 м, то установка убирающегося шасси у
этого самолета дала бы слабый эффект и не окупила бы конструктивных
усложнений.
Одним из крупных источников сопротивления самолета является двигатель
воздушного охлаждения или радиатор двигателя водяного охлаждения. И
ребристый двигатель, и радиатор являются такими телами, которые имеют
высокий коэффициент сопротивления.
Борьба за понижение сопротивления деталей, отводящих тепло от
двигателя, велась на всем протяжении истории развития самолетов с поршневыми
двигателями. Однако наиболее эффективные результаты были получены только в
период 1933-- 1943 гг., когда детали, отводящие тепло, -- радиаторы и
ребристые цилиндры -- были заключены в специальные каналы, скорость потока в
которых была значительно ниже скорости основного воздушного потока. Это были
кольцевые капоты, прикрывающие звездообразные двигатели, в которых
применялось регулирование скорости протекающего потока, или воздушные
туннели, в которых помещались ребристые цилиндры двигателей воздушного
охлаждения с рядным расположением цилиндров, или радиаторы. Вначале эти
туннели представляли собой наружные надстройки, а затем их стали все больше
и больше убирать внутрь фюзеляжа или крыльев. Если взять, например, самолет
"Як-3" (1943 г.), то о наличии у него внутренних туннелей можно было судить
лишь по небольшим воздухозаборникам.
С появлением турбореактивных двигателей необходимость в системах
охлаждения почти исчезла, так как воздух, служащий для понижения температуры
в камере сгорания, проходит через основной канал двигателя, а его масса
используется для повышения реактивного эффекта двигателя.
Еще одним крупным источником сопротивления самолетов являлась открытая
кабина экипажа, защищенная только спереди козырьком более или менее грубой
формы. Обтекание козырька и выреза в фюзеляже приводило к сильной
турбулизации потока и увлечению некоторой массы воздуха вслед за самолетом.
Это увлечение и является источником сопротивления. Для его ликвидации стали
применять закрытые кабины, вначале довольно грубые по форме, а затем все
более обтекаемые.
После того как убрано шасси, снижено сопротивление системы охлаждения,
сделана обтекаемая кабина, начинает доминировать сопротивление трения,
обусловленное большими поверхностями крыльев и их недостаточной гладкостью.
Поэтому следующим мероприятием было уменьшение площади крыльев путем
перехода от бипланов к монопланам, или вернее, увеличение удельной нагрузки
на крыло G/S. Однако размах крыльев при этом не должен быть уменьшен во
избежание уменьшения подъемной силы. Практически это привело к сохранению
размаха крыльев при уменьшении их площади S, что дало увеличение их
удлинения l=12/S.
Переход к свободно несущим монопланам освободил самолеты от
сопротивления стоек и расчалок. Проблема гладкости обшивки встала особенно
остро для крыльев с металлической обшивкой. Вначале отказались от
гофрированной обшивки и перешли на гладкую и более толстую обшивку. Затем
перешли на заклепки с потайными головками, что можно было сделать лишь при
еще более значительных толщинах обшивки и, наконец, стали применять такую
технологию производства и обработки поверхности крыльев, которая
обеспечивала удовлетворительную их гладкость. Оптимальная -- "зеркальная"
гладкость требовала значительного усложнения технологии и не нашла широкого
применения.
Переход на повышенную удельную нагрузку на крыло для истребителей -- с
40-60 кГ/м2 до 100-150 кГ/м2 -- потребовал разработки
и применения средств механизации крыльев с целью увеличения их
Cymax. Это было достигнуто применением закрылков, щитков,
предкрылков и различных в разных сечениях профилей крыльев. Естественно, что
наибольший успех имели те мероприятия, которые давали полезный эффект в
разных отношениях или, во всяком случае, не имели серьезных отрицательных
свойств.
На рис. 5 приведен график изменения значений F0 для
истребителей по годам. В период первой мировой войны вначале наблюдалось
некоторое уменьшение вредной площади с 1 м2 до 0,7-0,8
м2, достигнутое благодаря некоторым аэродинамическим улучшениям;
однако к концу войны вместе с резким увеличением мощностей двигателей
увеличилось и значение F0.
В период 1920-- 1930 гг. наблюдалось небольшое уменьшение
F0, а после 1934 г. его значение снизилось более чем в два раза,
и для монопланов периода второй мировой войны было характерно значение
F0, равное 0,35-0,3.
Как мы показали, уменьшение F0 слабо увеличивает
максимальную подъемную силу; так, если F0 будет уменьшено в три
раза, то подъемная сила увеличится только на 20%.
Рис. 5. График изменения приведенной вредной площади F0
маневренных истребителей по годам
Для увеличения максимальной перегрузки при маневре важнейшее значение
имело применение высотных двигателей. Принцип работы высотных двигателей
состоит в следующем. Вес двигателя определяется его максимальной мощностью и
схемой конструкции. Основную долю веса составляют система сжатия и
расширения газов и система передачи энергии на винт. У обычного невысотного
двигателя расчетным по прочности и весу параметром является работа на малой
высоте, т. е. при максимальной плотности воздуха. По мере подъема на высоту
двигатель все более и более разгружается и, таким образом, оказывается
излишне прочным и излишне тяжелым для этих высот. Проще всего сделать
двигатель высотным, т. е. приспособленным для работы на желаемой высоте,
если рассчитать его размеры и прочность по условиям работы на расчетной
высоте, а на меньших высотах не допускать работы на полной мощности путем
ограничения подачи топлива. Такой двигатель называется переразмеренным, и
при определенном весе на расчетной высоте он окажется более мощным, чем
невысотный двигатель.
Поскольку увеличение размеров двигателей для самолетов является
нежелательным, то для увеличения мощности стали применять повышение числа
оборотов двигателя и предварительное сжатие воздуха или рабочей смеси перед
подачей в цилиндр. Реализация этих мероприятий происходила постепенно по
мере улучшения конструкционных материалов, создания легких компрессоров для
предварительного сжатия и разработки топлив, которые давали сгорание при
повышенном давлении без явления детонации.
Наиболее эффективным средством предварительного сжатия смеси оказался
центробежный нагнетатель. Он и нашел самое широкое применение в период
1935-- 1945 гг. Его основное преимущество заключается в небольшом весе, а
основной недостаток -- в излишнем нагревании смеси, в связи с чем понижается
ее плотность. При работе на малой высоте, когда эффект сжатия не
используется, мощность двигателя оказывается пониженной как вследствие
затраты части мощности на вращение нагнетателя, так и в результате ненужного
нагревания смеси. При большой высотности двигателя падение его мощности на
малых высотах приводило к существенному ухудшению летных характеристик
самолета на этих высотах, и особенно его маневренности. Для устранения этого
недостатка были сконструированы устройства для изменения передаточного числа
привода центробежного нагнетателя.
Другим недостатком двигателя с нагнетателем было ухудшение
экономичности, т. е. повышение удельного расхода двигателя. Причина этого
заключается в том, что если сжатие рабочего тела происходит дважды -- в
нагнетателе и в цилиндре, то расширение его происходит только в цилиндре, т.
е. происходит как бы недорасширение рабочего тела, и выхлопные газы
выбрасываются в атмосферу еще с большим запасом энергии. Этот недостаток
можно устранить, если подавать выхлопные газы на турбину, а с турбины
передавать мощность через специальный редуктор на вал двигателя. Такая
система применялась на поршневых двигателях во второй половине сороковых
годов, однако с появлением турбовинтовых двигателей эта система отпала.
Значительно большее применение нашла несколько иная система: мощность,
которую получала турбина от выхлопных газов, подавалась на привод
нагнетателя, и двигатель освобождался таким образом от дополнительных затрат
мощности на вращение нагнетателя. Достоинство подобных турбокомпрессорных
агрегатов заключалось в основном в обеспечении ими большой высотности
двигателя и применялись они поэтому на специальных высотных самолетах --
рекордных или военных разведчиках и истребителях.
Для сравнения маневренных характеристик самолетов с невысотными и
высотными двигателями необходимо принять некоторую систему сравнения.
Очевидно, что на малой высоте самолет с невысотным двигателем будет более
маневренным. На больших высотах, наоборот, более маневренным будет самолет с
высотным двигателем. Однако высотности бывают разные и поэтому трудно
выбрать высоту для сравнения. Можно производить сравнение по максимальным
перегрузкам, независимо от высоты.
Можно провести и такое условное сравнение: зная мощность высотного
двигателя Np на расчетной высоте, находим затем его мощность на
малой высоте Nэ, как если бы он был невысотным, или, иначе
говоря, продолжаем его характеристику мощности по высотам до высот, меньших
расчетной, вплоть до уровня земли.
По этой мощности находим перегрузку nуэ и для самолетов с
высотными двигателями. Следует еще указать, что высотность двигателей
зависит также и от скорости полета, если заборник воздуха поставлен против
потока и в нем используется сжатие от скоростного напора.
Перейдем к обзору маневренных самолетов периода 1932-- 1938 гг.
Основные характеристики рассмотренных самолетов даны в табл. 3. Поскольку
они имели высотные двигатели с винтами изменяемого шага, значения Y и
nу даны для мощностей Nр и Nэ.
Характеристики виражей приведены для малых высот, но при условии, что
перегрузка соответствует мощности на расчетной высоте. На самом деле
мощность у земли несколько меньше, чем на расчетной высоте, но зато
плотность воздуха выше, и поэтому в области высот от земли до расчетной
подъемная сила, а следовательно, и перегрузка примерно постоянны.
Самыми замечательными по маневренным характеристикам для второй
половины тридцатых годов являются самолеты конструкции Н. Н. Поликарпова --
"И-15", "И-16" и его модификации и самолет "И-153". Последний самолет можно
рассматривать как самое высокое достижение в области конструирования
маневренных самолетов с поршневыми двигателями. Самолет "И-153" имел
максимальную перегрузку на малой высоте около 4, а по эквивалентной мощности
-- более 5. Это позволяло самолету выполнять пилотаж с высокими перегрузками
в течение длительного времени без потери энергии.
Самолет "И-153" является дальнейшим развитием самолетов "И-5" и "И-15".
Сначала был сделан переход от самолетов "И-5" к самолетам "И-15"; оба они
представляют собой бипланы примерно с одинаковыми размахами и площадями
крыльев. Мощность двигателя у самолета "И-15" в полтора раза выше, а
эквивалентная даже в два раза выше, чем у "И-5"; однако вес пустого самолета
"И-15" увеличен примерно на 30%, а полетный вес на 20% по сравнению с весом
самолета "И-5". Максимальная подъемная сила увеличилась на 30% и коэффициент
перегрузки на малой высоте -- примерно на 8%, достигнув величины около 3,5.
На высотах более 2,5 км преимущество в маневренной перегрузке составляет
около 30%. На самолете "И-15" были сделаны также некоторые аэродинамические
улучшения шасси, капота двигателя и др.
Самолет "И-153", выпущенный примерно через 4 года после самолета
"И-15", имел еще более мощный высотный двигатель, на нем были установлены
убирающееся шасси и закрытая кабина. Это дало увеличение аэродинамического
качества с 9,7 до 11. На маневренных характеристиках, естественно, сказалось
в основном увеличение мощности двигателя примерно на 30% при увеличении
полетного веса примерно на 17%. В результате маневренная перегрузка
увеличилась примерно на 15%, а на больших высотах -- на 30% благодаря более
значительной высотности двигателя. Самолет "И-153" был последним
истребителем-бипланом с поршневым двигателем и имел наиболее высокие
характеристики по сравнению со своими предшественниками и с находившимися в
эксплуатации одновременно с ним маневренными бипланами. Высокие
характеристики самолета "И-153" получены в результате большого опыта
конструкторской деятельности Н. Н. Поликарпова, целеустремленно направленной
на создание маневренного истребителя.
Н. Н. Поликарповым был построен целый ряд самолетов-бипланов, которые
имели высокие характеристики для своего времени. Однако он понимал, что
бипланам присущи органические недостатки и что переход на монопланы
неизбежен. В 1934 г. Н. Н. Поликарпов выпускает свой знаменитый самолет
"И-16", в котором он стремился совместить скоростные и маневренные свойства.
Хотя к 1934 г. истребители-монопланы стали строить и другие
конструкторы, отечественные и иностранные, тем не менее, самолет "И-16" был
весьма оригинален по своим формам; он казался чрезмерно коротким и
тупоносым. Хвостовое оперение располагалось почти вслед за крылом, и это
вызывало сомнение по поводу устойчивости самолета. Были опасения и
относительно надежности его выхода из штопора. Самолет испытывал
замечательный мастер высшего пилотажа -- Валерий Павлович Чкалов; при
испытаниях самолет показал замечательные для того времени скоростные и
маневренные качества. Именно во время этих испытаний было показано, что
скорость является важнейшим фактором маневренности, так как самолет, получив
разгон, приобретает дополнительную кинетическую энергию и при малом лобовом
сопротивлении эта энергия сохраняется длительное время.
Из материалов, приведенных в табл. 3, видно, что по характеристике веса
пустого KG0 самолет "И-16" мало уступал лучшим
истребителям-бипланам, а его характеристика сопротивления была почти вдвое
меньше, чем у них (F0=0,4). Коэффициент перегрузки у самолета
"И-16" был более 3, а с более мощным двигателем -- более 3,5 на малой
высоте.
Сомнения в отношении устойчивости самолета "И-16" быстро рассеялись.
Правда, первые серии самолета, на котором был установлен относительно легкий
двигатель, имели заднюю центровку и недостаточную устойчивость по
перегрузке. Некоторым летчикам это даже нравилось, так как градиент усилия
по перегрузке был мал и самолет был очень "резвым".
Однако то, что было хорошо при маневрировании в хорошую погоду,
оказалось плохим при полете в сложных метеорологических условиях при
отсутствии видимости. В этих условиях летчик не мог контролировать поведение
самолета по угловой скорости тангажа. После установки более тяжелых
двигателей центр тяжести самолета сдвинулся вперед, и самолет стал прост в
пилотировании, несмотря на свой короткий хвост. Удаление хвостового оперения
от центра тяжести самолета сказывается на демпфирующем эффекте продольного
движения; однако это не единственный фактор; демпфирование в большой мере
определяется действием крыла. При характеристиках плотности
rсам=G/gSl, присущих самолету "И-16", демпфирование продольных
движений достаточно велико.
Самолет "И-16", будучи близким к бипланам по перегрузке, имел
значительно меньшую площадь крыльев и, следовательно, более высокую удельную
нагрузку. Это не отразилось существенно на его взлетно-посадочных
характеристиках, особенно на последующих модификациях самолета, снабженных
посадочными щитками, однако радиусы кривизны траектории при маневре с
максимальной перегрузкой увеличились, что видно из табл. 3. Самолет "И-16"
явился как бы промежуточным звеном для перехода к скоростным
истребителям-монопланам периода второй мировой войны. На нем стал возможен
высший пилотаж в виде комбинации и вращений и движений в вертикальной
плоскости, что является характерным для современной программы высшего
пилотажа.
Опасения в отношении трудности выхода самолета из штопора не
оправдались. Послушав споры ученых, в которых принимал участие и автор, В.
П. Чкалов решил испытать самолет, и оказалось, что даже при задней центровке
самолет легко выходил из штопора, чего не наблюдалось у самолетов-бипланов
"И-15" и "И-153". В. П. Чкаловым была даже предложена новая фигура --
восходящий штопор. Самолет разгонялся путем снижения, выводился на
вертикальную восходящую траекторию, и затем, когда скорость в достаточной
мере уменьшалась, рули ставились в штопорное положение и самолет делал
штопор вверх, пока не иссякал запас скорости. Условия начала штопора
определялись допустимой перегрузкой по прочности самолета.
Преимущество самолета "И-16" в отношении маневренности определялось
также более высоким уровнем кинетической энергии при полете на максимальной
скорости. Так, если для самолетов "И-5" и "И-15" значения hк были
соответственно 310 и 400 м, то для самолета "И-16" и его модификации 1938 г.
эти значения были соответственно равны 630 и 700 м.
Как мы уже указывали, с началом второй мировой войны от разделения
самолетов-истребителей на скоростные и маневренные отказались, поскольку
доминирующим фактором при выполнении вертикальных маневров стал запас
кинетической энергии. Отсутствие подразделения истребителей на скоростные и
маневренные нужно понимать в смысле особенностей их аэродинамики. Однако
сама по себе большая скорость, определяющая запас кинетической энергии, еще
не характеризует маневренные свойства в маневренном бою, так как даже очень
большой запас кинетической энергии, или вернее полной энергии (включая и
начальную высоту полета), может быть израсходован при маневрировании с
большими перегрузками.
По своей аэродинамике и по мощности двигателей истребители СССР,
Германии, Англии и США были довольно близки друг к другу; это обстоятельство
было обусловлено взаимным ознакомлением с конструктивными идеями, которое
имело место и до войны и еще более усилилось во время войны благодаря
захвату сбитых самолетов. Маневренность каждого истребителя можно было
повысить, уменьшив его полетный вес. Так, например, известный немецкий
истребитель Мессершмидт Me-109" имел две модификации: одну с более мощным
вооружением и, следовательно, более тяжелую -- "G" и вторую -- легкую,
маневренную -- "F". Разница в весах этих модификаций самолетов и
соответственно в значениях nу составляла 15-20%. Облегчение
самолетов достигалось в основном путем уменьшения запаса топлива,
боеприпасов, числа стволов оружия и т. п. Эти мероприятия в значительной
мере ухудшали боевые качества самолетов. Чем меньше был вес пустого самолета
или, вернее, чем меньше была величина Y/G0, тем больше была
возможность облегчить самолет.
Не впадая в преувеличение достижений отечественной научной и
конструкторской мысли, можно утверждать, что в отношении веса конструкции
советские истребители были среди лучших.
В данной работе мы не будем анализировать характеристики истребителей
второй мировой войны. В табл. 3 приведены характеристики самолета "Як-1М",
специально облегченного для повышения маневренных характеристик. Если
рассматривать значения KG0 и nу этого самолета,
отнесенные к действительной мощности у земли, то вес конструкции у него
оказывается выше, а nу меньше, чем у лучших
истребителей-бипланов. Однако, если отнести эти характеристики к
эквивалентной мощности, то конструкция должна быть оценена как очень легкая,
а значение nу как достаточно высокое.
Для иллюстрации развития маневренных самолетов в период 1913-- 1938 гг.
мы построили на рис. 6 и 7 графики, дающие изменение основных показателей
маневренных самолетов по годам. На рис. 6. дано изменение максимального
значения коэффициента перегрузки nу. Как видно, в период первой
мировой войны значение nу возросло примерно на 30%, что
соответствует увеличению горизонтальной составляющей перегрузки на 40%. В
период 1920-- 1930 гг. значение nу повышалось сравнительно
медленно, а затем темп роста увеличился, и к 1938 г. nу достигло
величины 4, т. е. вдвое большей, чем перед началом первой мировой войны.
На рис. 6 пунктиром показано изменение величины эквивалентной
перегрузки для самолетов с высотными двигателями. Напомним, что эта величина
характеризует перегрузку при маневре на больших высотах. Как видно,
применение высотных двигателей дало очень резкое повышение nу по
годам.
Для получения величины nу на высотах, превышающих границу
высотности двигателей, нужно воспользоваться графиком, приведенным на рис.
3. Например, для самолета "И-5" с двигателем малой высотности перегрузка у
земли равна 3,25. Подъемная сила на высоте 4 км при винте фиксированного
шага составит 0,59 от ее значения у земли (см. рис. 3), а коэффициент
перегрузки будет равен 0,593,25=1,92.
Рис. 6. График изменения максимального значения коэффициента перегрузки
маневренных истребителей по годам
У самолета "И-153" эквивалентная перегрузка равна 5,25 (см. рис. 6);
коэффициент падения перегрузки на высоте 4 км при винте изменяемого шага
будет равен 0,63 (см. рис. 3) и коэффициент перегрузки будет равен
nу=0,63 5,25 = 3,3, т. е. на 70% больше, чем у самолета "И-5".
На малой высоте преимущество в величине перегрузки у самолета "И-153" по
сравнению с ее величиной у самолета "И-5" будет лишь около 20%.
На рис. 7 дано изменение коэффициента веса пустого самолета по годам.
Мы уже указывали, какое важное значение для получения высокой маневренности
имеет величина KG0. Чем меньше величина KG0, тем
большая перегрузка может быть получена при определенном значении
относительной величины полезной нагрузки. Если же значение KG0
велико, то самолет может оказаться маневренным только при относительно малой
нагрузке.
Как видно из графика, приведенного на рис. 7, резкое уменьшение
значения KG0 имело место в период первой мировой войны, а затем
возможность его уменьшения была почти исчерпана. Пунктирной линией дано
изменение величины KG0, отнесенной к эквивалентной мощности
высотных двигателей; как видно из графика, с ростом высотности произошло
новое значительное уменьшение KG0.
Рис. 7. График изменения коэффициента веса маневренных истребителей без
нагрузки по годам
Если бы в современных условиях сконструировать маневренный самолет с
турбовинтовым двигателем, то величина KG0 оказалась бы у него
значительной меньшей, чем у самолета с поршневым двигателем, и,
соответственно, можно было бы получить высокую маневренную перегрузку.
Однако еще более выгодно использовать турбореактивный двигатель. Определение
максимальной перегрузки для самолета с турбореактивным двигателем довольно
просто. Для этого нужно взять силу тяги ТРД Р при скорости, соответствующей
маневру, т. е. около 85% статической тяги Р0; эту тягу нужно
умножить на аэродинамическое качество и разделить на вес самолета. Мы
получим: ny=0,85K*P0/G. Так, при значениях
P0/G, равных 0,5-0,7, мы получим значение , ny равное
4,5-6 и даже больше. Можно сделать специальный самолет со значением
P0/G больше единицы, и тогда можно получить ny более
8. Однако такая перегрузка будет очень тяжела для летчика. Самолеты с ТРД
имеют значение P0/G не менее 0,25, тогда при хорошем
аэродинамическом качестве ny будет не менее 3. С поднятием на
высоту ny будет уменьшаться примерно по закону
до границы стратосферы, а затем -- пропорционально изменению давления.
Рис. 8. Самолет "Ньюпор-17" -- виды спереди и сверху
На рис. 9 приведены поляра самолета "Ньюпор-17" и профиль его крыльев;
как видно из рисунка, самолет имел тонкое крыло со значительной кривизной
средней линии. Эффективное удлинение крыла около 5; по известной
максимальной скорости и примерному значению коэффициента полезного действия
винта была найдена эквивалентная вредная площадь F0=0,76 м, после
чего оказалось возможным составить уравнение поляры:
Cх=0,065 + 0,065Су2
В районе Сумах и на малых Су поляра "отваливает" от
теоретической, как показано на рис. 9. Максимальное аэродинамическое
качество получилось равным примерно 7,7. Затем по характеристике двигателя
"Рон" (мощностью 110 л. с.) был подобран винт диаметром 2,45 м и шагом 2,75
м. Характеристики тяги и полезной мощности были определены обычными
приемами, путем сопоставления коэффициентов мощности винта
с аналогичными коэффициентами для двигателя.
На рис. 10 приведены характеристики потребной и располагаемой
мощностей, для высот полета 0, 2, 4 и 6 км. При расчете потребной мощности
на малой высоте и малой скорости была учтена вертикальная составляющая тяги,
и это дало уменьшение минимальной скорости примерно на 12%.
Рис. 9. Профиль крыла и поляра самолета "Ньюпор-17"
По пересечениям потребных и располагаемых мощностей были определены
максимальные скорости (рис. 11). По максимальным избыточным мощностям
DN=Nр-- Nп были определены максимальные вертикальные
скорости и подсчитано время подъема на разные высоты.
Для расчета виражей был построен вспомогательный график (рис. 12)
зависимости потребной Qгор и располагаемой Р тяги от кинетической
высоты hк=V2/2g. Проведя на этом графике прямые из
начала координат, получим режимы полета с максимальной перегрузкой; величина
перегрузки равна отношению P/Qгop в точках пересечения луча с
кривыми располагаемой и потребной тяги. Максимальная подъемная сила
оказалась равной Ymах=1360 кГ; по приближенному расчету мы
получили величину 1320 кГ.
На рис. 13 даны характеристики маневренности самолета на малой высоте.
Минимальный радиус виража оказался равным около 50 м и минимальное время
совершения круга-- 10 сек. Был произведен также расчет виража для
гипотетического случая, когда при больших Су поляра не "отваливает", а
продолжает следовать закону Сх = 0,065(1+ Су2).
Рис 10 График располагаемых мощностей двигательной группы и мощностей,
потребных для горизонтального полета самолета "Ньюпор-17"
Полученные результаты показаны на рис. 12 и 13 пунктирной линией.
Подобное продление поляры имело бы место при более широких крыльях. Как
видно из рисунков, это дало бы незначительное увеличение перегрузки, но
значительно уменьшило бы радиус и время виража (время виража снизилось бы до
8,1 сек, а радиус был бы равен 35 м). Следует указать, что если у самолета
"Ньюпор" средняя ширина крыла (сумма ширины верхнего и нижнего крыльев)
составляла около 1,9 м, то у английского самолета Сопвич "Кемел" она была
равна 2,7 м. При взлете самолета "Ньюпор" среднее значение силы тяги
составляло около 250 кГ, или 45% веса. Это довольно большая тяга, которая
давала среднее ускорение, равное со 4 м/сек2; при отрыве на
скорости, равной 20 м/сек, время разбега будет равно 5 сек и длина разбега
-- 50 м. При скорости встречного ветра 5 м/сек длина разбега составляла
всего 30 м.
Рис. 11 График скоростей и скороподъемности самолета "Ньюпор-17"
Рис. 12. График для расчета максимальной перегрузки самолета
"Ньюпор-17"
Взлет самолета "Ньюпор" был очень эффектным -- после очень короткого
разбега самолет почти сразу переходил на набор высоты под углом
16о-17о. Некоторые летчики после отрыва начинали
выполнять спиральный набор высоты. При крене в 45о и скорости
около 100 км/час самолет мог выполнять спираль с радиусом около 70 м,
совершая один виток за 17 сек и набирая около 80 м высоты. Спиральный взлет
был очень опасен, так как в случае остановки двигателя на малой высоте
летчик не успевал перевести самолет на планирование и он обычно переходил в
штопор.
Рис. 13 Характеристики маневренности самолета "Ньюпор-17" на малой
высоте
Расчет расхода топлива в полете показал, что минимальный часовой расход
составлял около 12 кг/час при скорости 100 км/час и около 25 кг/час на
мощности, близкой к максимальной. При запасе топлива, равном около 60 кг,
время полета с маневрированием составляло около 2 час. Максимальную
дальность самолет имел при скорости 125 км/час, при километровом расходе
0,12 кг/км; при этих условиях максимальная дальность могла составить около
500 км.
Приведенные материалы могут дать известное представление о том, что
представлял собой истребитель времен первой мировой войны.
При неработающем двигателе винт обычно останавливался и величина
вредной площади становилась равной около 1,2 м, а аэродинамическое качество
К=6. При скорости 80-85 км/час скорость снижения была равна 4 м/сек; при
спирали с креном в 45о и скорости 100 км/час радиус спирали был
равен около 80 м, время витка -- 20 сек и снижение за один виток -- около
120 м.
Самолет И-5
Самолет "И-5" (рис. 14) был разработан группой конструкторов под
руководством Н. Н. Поликарпова и Д. П. Григоровича в 1930 г. Это был
типичный биплан с двигателем воздушного охлаждения, имеющим звездообразное
расположение цилиндров. Вначале на каждом цилиндре был индивидуальный
обтекатель, а затем был применен общий кольцевой обтекатель.
Рис 14 Схема истребителя "И-5"
Крылья самолета имели довольно толстый профиль с плоской нижней
стороной. Казалось бы, ни по схеме, ни по мощности двигателя самолет не
отличался от ранее построенных истребителей. Его достоинства определялись
малым весом пустого самолета и большим значением перегрузки при маневре;
хорошо были отработаны и его органы управления.
На рис. 15 даны поляры и профиль крыла самолетов "И-5" и "И-153". На
рис. 16 даны графики скоростей по высотам и вертикальных скоростей для
самолета "И-5".
Для расчета маневров самолета удобно применить такую
последовательность. Для некоторой скорости V мы знаем максимальную силу тяги
двигательной группы Р; при установившейся скорости полета или маневра эта
тяга должна быть равна силе сопротивления; отсюда мы можем найти коэффициент
сопротивления Сx=P/qS, а, пользуясь полярой или формулой для нее, по Сх,
находим Су, и тогда величина подъемной силы будет:
Рис. 15. Профиль крыла и поляры самолетов истребителей "И-5" и "И-153"
Рис. 16. Характеристики скоростей и скороподъемности самолета "И-5"
Рис. 17. Характеристики тяги и максимальной подъемной силы самолета
"И-5" для малой высоты
Произведя такие расчеты для ряда скоростей, мы сможем построить график
подъемной силы по скорости (рис. 17); затем определим коэффициент перегрузки
nу для желаемого значения веса самолета и найдем радиус виража и
время совершения круга:
Величины ny, r, t наносим на график (рис. 18). Подобный
расчет можно проделать и для другой высоты, взяв соответственно силу тяги и
значение скоростного напора для этой высоты.
Самолет И-153
Как мы уже указывали, дальнейшим развитием самолета "И-5" явился
самолет "И-15", который имел более мощный двигатель и несколько улучшенную
аэродинамику. У самолета "И-153" кроме дальнейшего повышения мощности
двигателя воздушного охлаждения была более существенно улучшена
аэродинамика. Поэтому мы не будем приводить характеристики самолета "И-15",
а прямо перейдем к самолету "И-153", у которого маневренные характеристики
были наиболее высокими и который был последним из маневренных бипланов.
Оба самолета, "И-15" и "И-153", были сконструированы под руководством
Н. Н. Поликарпова. Схема самолета "И-153" приведена на рис. 19, его поляра
была приведена на рис. 15; она отличается от поляры самолета "И-5" только
меньшим значением Сх и тем, что аэродинамическое качество повысилось до
значения К=11. Характеристика полезной мощности была построена для винта
изменяемого шага при условии сохранения постоянного числа оборотов
независимо от высоты и скорости полета.
Рис. 18. Характеристики маневренности самолета "И-5" на малой высоте
Рис. 19. Схема истребителя "И-153"
Расчет горизонтальных и вертикальных скоростей производился по графику
полезных и потребных мощностей. При расчете потребных мощностей
Nпoтp=QV/75 подъемная сила самолета определялась с учетом
вертикальной составляющей тяги, при использовании геометрического построения
на поляре, предложенного Н. Е. Жуковским (рис. 20).
На рис. 21 приведены горизонтальные скорости полета и время подъема на
высоты. Как видно из графика, скороподъемность самолета очень высокая.
Скорость отрыва при взлете равна около 35 м/сек при среднем значении силы
тяги 850 кГ; среднее ускорение при разбеге jср=3,8 м/сек2, время
разбега -- 9 сек и длина разбега около 160 м.
Расчет характеристик маневренности на малой высоте производим таким же
методом, как делали это для самолета "И-5" (рис. 22). На этом же графике
нанесена характеристика перегрузки, допустимой по условию
Cyдoп=0,85Сумах, nу доп = Cyдoп
qS/G.
Рис. 20. Поляры самолета "И-153" без тяги и с тягой
Рис. 21. Характеристики скоростей и скороподъемности самолета "И-153"
Рис. 22. Характеристики маневренности самолета "И-153" на малой высоте
Затем, как мы это уже делали ранее, находим радиус виража и время
совершения полного круга; эти расчеты производились для полетного веса 1700
кГ. Как видно из графика, максимальная перегрузка доходит до 3,6 и
минимальное время виража составляет около 11 сек, т. е. почти такое же, как
и у самолета "И-5".
У самолета "И-153", как это было и у самолета "И-15", верхнее крыло
сделано по схеме "чайка", т. е. оно не проходит над фюзеляжем, как это было
типично для бипланов, а выгибается и примыкает к фюзеляжу. Это сделано для
улучшения обзора вперед, что очень важно для истребителя. Благодаря такой
схеме образуется не только значительная боковая поверхность, но, сливаясь с
фюзеляжем, эта поверхность придает крылу более высокое удлинение. Основные
крылья, которые не дают боковой силы, экранируют боковые поверхности как
шайбы и тоже увеличивают их удлинение.
В результате расчета было получено, что аэродинамическое качество в
боковом направлении, т. е. соотношение коэффициента боковой силы Cz и
коэффициента сопротивления Cх имеет величину 3,5-- 4,0. Градиент боковой
силы меньше градиента подъемной силы примерно в пять раз. Эффективный размах
боковых поверхностей благодаря экранирующему действию крыльев получился
равным около 3 м и тогда максимальное значение боковой силы оказывается
равным около 2000 кГ, т. е. больше веса самолета. Благодаря этому самолет
"И-153" был способен летать по горизонтали с креном 90о, т. е. на
боку. Подобный своеобразный вид полета выполнялся практически.
Самолет И-16
Как мы уже указывали, намерением конструктора Н. Н. Поликарпова было --
совместить в самолете "И-16" скоростные и маневренные качества. Это ему
удалось в основном осуществить. Схема самолета приведена на рис. 23, а
основные характеристики даны в табл. 3. С тем же двигателем, что и у
самолета "И-153", самолет "И-16" (модификации 1938 г.) имел почти тот же
вес, но площадь крыльев у него была в полтора раза меньше, чем у самолета
"И-153". Размах крыльев у обоих самолетов был одинаковым.
Таким образом, основное отличие самолета "И-16" от самолета "И-153"
состояло в большей величине удельной нагрузки на крыло и меньшем значении
приведенной вредной площади F0. Благодаря этим особенностям у
самолета "И-16" оказалась более высокая максимальная скорость -- на 10%, но
и более высокая минимальная скорость -- примерно на 20%.
Профилем крыла самолета "И-16" был профиль "Кларк-YH", который
характерен несколько отогнутой вверх задней кромкой; на рис. 24 показан этот
профиль в среднем сечении и поляра самолета.
Характеристику тяги можно взять из расчета самолета "И-153", поскольку
двигатели у этих самолетов одинаковые. Значения силы тяги P=75N/V приведены
на рис. 25. Дальнейший расчет производим, исходя из значений подъемных сил,
способ определения которых был уже изложен ранее, но этот расчет мы
повторяем для ряда высот от 0 до 11 км (рис. 26).
Пользуясь этим графиком, мы можем определять характеристики маневра на
любых скоростях и высотах при желаемых полетных весах. Исходя из веса 1750
кГ и задаваясь значениями перегрузок ny = 1; 1,5; 2, 2,5 и 3, мы
находим подъемные силы и скорости полета на различных высотах. По этим
материалам строим график скоростей по высотам при указанных перегрузках
(рис. 27), который дает области маневрирования и позволяет получить
характеристики маневрирования при всех скоростях и высотах.
Рис 23 Схема истребителя "И-16"
Характеристики маневренности самолета приведены на рис. 28, причем
вместо радиусов и времени виража даны значения угловой скорости при вираже
w=gnгор/V. На тот же график нанесены значения угловой скорости
при вираже для самолета "И-153".
Рис. 24. Профиль крыла и поляра самолета "И-16"
Рис. 25. Характеристики тяги для самолета "И-16"
Рис. 26. Зависимости подъемной силы от высоты и скорости полета для
самолета "И-16"
Рис. 27. График значений перегрузок в зависимости от высоты и скорости
полета для самолета "И-16"
Левые части графиков соответствуют условиям ограничений при
Су=0,85Суmах. Как видно из графика, при скоростях, меньших 70
м/сек (250 км/час), самолет "И-153" имеет большое превосходство в угловой
скорости, или, иначе говоря, при определенной скорости он имеет меньший
радиус виража. При скоростях, превышающих 100 м/сек (360 км/час),
преимущество в угловой скорости имеет самолет "И-16". Какой же самолет имеет
преимущество в воздушном бою? Это зависит от опыта летчика; самолету "И-153"
не следовало завязывать бой при большой скорости, а самолету "И-16" -- при
малой. Преимущество у того, кто располагает инициативой, а она у того, у
кого больше скорость.
Рис 28. Сравнительный график характеристик маневренности самолетов
"И-16" и "И-153"
Рис. 29. График изменения максимальной подъемной силы с высотой для
самолета "И-16"
Если самолет "И-153" предлагает маневрирование на низких скоростях, то
самолет "И-16" может его не принять и удалиться с целью подготовки маневра
для атаки, а самолет "И-153" лишен такой возможности.
Взлет самолета "И-16" характеризуется скоростью отрыва, равной 150
км/час, временем разбега 10 сек и длиной разбега около 210-220 м; начальная
вертикальная скорость у него около 16 м/сек, угол подъема -- около
15о. На рис. 29 дан график изменения максимальной подъемной силы
с высотой, построенный по данным, полученным из графика, приведенного на
рис. 26; этот график дает зависимость потолка самолета от его полетного
веса.
* *
На этом мы заканчиваем рассмотрение истории развития маневренных
самолетов с поршневой винтомоторной группой. Мы полагаем, что изложенный
материал представляет не только исторический, но и методический интерес.
Опыт истории всегда служит и для общего развития специалистов, и для
правильного понимания путей продвижения в новое.
Библиография
1. Вейгелин К. Е., Путь летчика Нестерова, Оборонгиз, 1939.
2. Вейгелин К. Е., Очерки по истории летного дела, Оборонгиз, 1940.
3. Виноградов Р. И., Минаев А. В., Самолеты СССР, Воениздат, 1961.
4. Воздухоплавание и авиация в России до 1907 г, Сборник документов и
материалов, под редакцией В. А. Попова, Оборонгиз, 1956.
5. Делоне Н. Б., Устройство дешевого и легкого планера и способы
летания на нем, Киев, 1910.
6. Жуковский Н. Е., Теоретические основы воздухоплавания, часть II,
Полное собрание сочинений, Лекции, выпуск 2, НКОП СССР, Государственное
издательство оборонной промышленности, Москва, 1939.
7. Журнал "Вестник воздушного флота", с 1918 г. и далее.
8. Журнал "Воздухоплаватель", 1910-- 1917 гг.
9. Крейсон П. М., Самолеты за 20 лет, ОНТИ, Госмашметиздат, 1934,
10. Моисеенко В. Л., Предельные размеры самолетов, Отдел военной
литературы при РВСР, 1921.
11. Рынин Н. А., Теория авиации, Петроград, 1918.
12. "Труды авиационного отдела Летучей лаборатории", под редакцией В.
П. Ветчинкина, Москва, 1918.
13. Шипилов И. Ф., Выдающийся русский летчик П. Н. Нестеров, Воениздат,
1952.
Издательский редактор Л. И Мунина Технический редактор Н. А. Пухликова
Художник Я. Т. Дворников Корректор А. И. Карамышкина
Сдано в набор 29/III 1968 г. Т-10097 Подписано к печати 10/VII 1968 г.
Тираж 3600 экз. Цена 78 коп. Тем. план 1968 г. No 148
Издательство "Машиностроение", Москва, К-51, Петровка, 24 Изд. зак.
2395
Московская типография No 8 Главполиграфпрома Комитета по печати при
Совете Министров СССР, Хохловский пер., 7. Тип. зак. 678
Илл. -- 59, табл -- 3, библиография -- 13 названий.
Редактор инж. К. Я. Зайцева
Популярность: 18, Last-modified: Mon, 13 Jan 2003 09:15:56 GmT